一级黄色毛片 質量流量計在乙烷貿易交接中應用-江蘇省凯祥医疗器械有限公司
;                  
                 
        首   頁(ye)│  公司(si)簡介(jie)  質量(liang)體系(xi)  銷售(shou)網絡(luo)  聯系(xi)我們(men)
 
  溫度(du)儀表(biao)系列(lie)
  壓力(li)儀表(biao)系列(lie)
  流量(liang)儀表(biao)系列(lie)
  校驗(yan)儀表(biao)系列(lie)
  顯示(shi)儀表(biao)系列(lie)
  變送(song)器儀(yi)表系(xi)列
  電(dian)線電(dian)纜系(xi)列
 
  電(dian)磁流(liu)量計(ji)的💰一级黄色毛片✨工(gong)作原(yuan)理
  氧(yang)化锆(gao)氧傳(chuan)感器(qi)的原(yuan)理及(ji)應用(yong)
  有害(hai)氣體(ti)檢測(ce)報警(jing)儀選(xuan)用原(yuan)則
我(wo)國計(ji)量用(yong)儀器(qi)儀表(biao)的發(fa)展和(he)現狀(zhuang)
  國内(nei)儀器(qi)儀表(biao)行業(ye)将發(fa)生高(gao)科....
采用(yong)半導(dao)體精(jing)密溫(wen)度傳(chuan)感......
  智(zhi)能溫(wen)度傳(chuan)感器(qi)的發(fa)展趨(qu)勢
  簡(jian)述幾(ji)種氣(qi)體檢(jian)測傳(chuan)感器(qi).....
  利用(yong)傳感(gan)器技(ji)術制(zhi)造智(zhi)能服(fu)裝
 
   
 
聯系(xi)方式(shi)
  電話(hua)(市場(chang)部):  
      
      
   (拓(tuo)展部(bu)):
     傳真(zhen):
  節假(jia)日商(shang)務聯(lian)系電(dian)話:
  何(he)經理(li):
  劉經(jing)理:
  郵(you)編:211600
 網(wang)址:/
    http://banyunshe.cc/
 E-mail:[email protected]
     [email protected]
 地(di)址:江(jiang)蘇省(sheng)金湖(hu)縣工(gong)業園(yuan)區環(huan)城西(xi)
 路269号(hao)
 您現(xian)在的(de)位置(zhi) > 首頁(ye) > 行業(ye)新聞(wen) > 質量(liang)流量(liang)計在(zai)乙烷(wan)貿易(yi)交接(jie)中應(ying)用
     

質(zhi)量流(liu)量計(ji)在乙(yi)烷貿(mao)易交(jiao)接中(zhong)應用(yong)
發布(bu)時間(jian):2025-11-27 08:37:18

摘要(yao):爲了(le)提高(gao)天然(ran)氣附(fu)加值(zhi),各油(you)氣田(tian)紛紛(fen)采用(yong)深冷(leng)方式(shi)從⭕天(tian)然氣(qi)中分(fen)離出(chu)乙烷(wan)氣體(ti)作爲(wei)産品(pin)銷售(shou)。但乙(yi)烷氣(qi)體的(de)組分(fen)、密度(du)與常(chang)規的(de)天然(ran)氣存(cun)在較(jiao)大差(cha)異,緻(zhi)使貿(mao)易交(jiao)接計(ji)✂️量沒(mei)有可(ke)參照(zhao)的國(guo)家及(ji)行業(ye)标準(zhun)。爲了(le)提高(gao)乙烷(wan)氣體(ti)計量(liang)的精(jing)度,應(ying)🌂選擇(ze)正确(que)的測(ce)量方(fang)法,通(tong)過比(bi)較常(chang)用 氣(qi)體流(liu)量計(ji) 的測(ce)量原(yuan)理,分(fen)析了(le)壓縮(suo)因子(zi)計算(suan)的精(jing)度對(dui)氣體(ti)體積(ji)測🐕量(liang)精度(du)的影(ying)響程(cheng)度,最(zui)終推(tui)薦采(cai)用質(zhi)量流(liu)🌈星計(ji)進行(hang)乙烷(wan)氣體(ti)交接(jie)計量(liang);同時(shi)結合(he)質量(liang)流星(xing)計的(de)工作(zuo)原理(li)和現(xian)場實(shi)際使(shi)用過(guo)程中(zhong)的經(jing)驗,對(dui)質量(liang)流量(liang)計 的(de)檢定(ding)、安裝(zhuang)和使(shi)用等(deng)環節(jie)提出(chu)合理(li)化建(jian)議,以(yi)便爲(wei)更多(duo)天🏃🏻然(ran)氣附(fu)加産(chan)品的(de)交接(jie)計量(liang)提供(gong)技術(shu)支撐(cheng)。
  乙烷(wan)與液(ye)化氣(qi)、穩定(ding)輕烴(ting)和穩(wen)定凝(ning)析油(you)等原(yuan)料相(xiang)🔆比,具(ju)有🚩乙(yi)🏃🏻‍♂️烯轉(zhuan)換率(lü),是優(you)質的(de)乙烯(xi)原料(liao)。近年(nian)來各(ge)油田(tian)公司(si)🏃‍♂️通過(guo)對油(you)氣田(tian)産出(chu)的天(tian)然氣(qi)進行(hang)增壓(ya)深冷(leng)将乙(yi)烷氣(qi)體分(fen)離後(hou)輸送(song)💋到煉(lian)化企(qi)業,作(zuo)爲乙(yi)烯生(sheng)産的(de)原料(liao),提高(gao)👅天然(ran)氣的(de)附加(jia)價值(zhi)。作爲(wei)交接(jie)産品(pin)的管(guan)輸乙(yi)烷氣(qi)體其(qi)組分(fen)、密度(du)與管(guan)輸天(tian)然氣(qi)存在(zai)較大(da)差異(yi)。目前(qian)天然(ran)氣交(jiao)接計(ji)量過(guo)程中(zhong)執行(hang)國家(jia)及行(hang)業标(biao)準不(bu)适用(yong)于乙(yi)烷氣(qi)體,需(xu)要探(tan)讨适(shi)合乙(yi)烷氣(qi)體交(jiao)接計(ji)量的(de)測方(fang)法,以(yi)确保(bao)乙烷(wan)氣體(ti)交接(jie)計量(liang)數據(ju)正确(que)、公平(ping)、公正(zheng)。
1常用(yong)天然(ran)氣标(biao)準體(ti)積計(ji)算方(fang)法
  目(mu)前國(guo)際上(shang)天然(ran)氣貿(mao)易交(jiao)接普(pu)遍采(cai)用超(chao)聲、 渦(wo)輪流(liu)量計(ji) 、旋進(jin)旋渦(wo)、孔闆(pan)等計(ji)量儀(yi)表。其(qi)中超(chao)聲、渦(wo)輪、 旋(xuan)進旋(xuan)渦流(liu)量計(ji)等計(ji) 量儀(yi)表直(zhi)接測(ce)量均(jun)爲氣(qi)體的(de)工況(kuang)體積(ji)量,然(ran)後通(tong)過氣(qi)體㊙️方(fang)程公(gong)式(1)對(dui)工況(kuang)體積(ji)量Vg進(jin)行補(bu)償計(ji)算,最(zui)終換(huan)算爲(wei)标準(zhun)狀态(tai)下體(ti)積量(liang)V,進行(hang)交接(jie)11。

  式中(zhong):Vn爲标(biao)準狀(zhuang)态下(xia)的體(ti)積,Nm3;pn爲(wei)标準(zhun)大氣(qi)壓力(li),0.101325Pa;T.爲标(biao)準狀(zhuang)态🧡下(xia)的絕(jue)對溫(wen)度(293.15),K;Z.爲(wei)标準(zhun)狀态(tai)下的(de)壓縮(suo)因子(zi);Vg爲工(gong)作狀(zhuang)态下(xia)的體(ti)積,m3;pg爲(wei)工作(zuo)狀态(tai)下的(de)絕對(dui)壓力(li),Pa;Tg爲工(gong)作狀(zhuang)态下(xia)的絕(jue)對溫(wen)度(273.15+t),K;t爲(wei)被測(ce)介質(zhi)攝氏(shi)溫度(du),℃;Zg爲工(gong)作狀(zhuang)态下(xia)的壓(ya)縮因(yin)子。
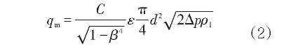
  GB/T21446--2008121《用(yong)标準(zhun)孔闆(pan)測天(tian)然氣(qi)》中測(ce)量天(tian)然氣(qi)的質(zhi)量流(liu)量qm計(ji)算方(fang)法如(ru)🍓公式(shi)(2)和公(gong)式(3)所(suo)示:

  式(shi)中:qm爲(wei)天然(ran)氣的(de)質量(liang)流量(liang),kg;C爲流(liu)出系(xi)數,與(yu)節流(liu)裝置(zhi)🏃🏻的幾(ji)何尺(chi)寸和(he)雷諾(nuo)數相(xiang)關;b爲(wei)直徑(jing)比,孔(kong)闆開(kai)孔直(zhi)徑與(yu)上遊(you)測量(liang)管内(nei)徑⛱️之(zhi)比;ε爲(wei)可膨(peng)脹系(xi)數,對(dui)于給(gei)定的(de)計量(liang)裝置(zhi)該值(zhi)取決(jue)于🈲流(liu)體靜(jing)✨壓、孔(kong)闆前(qian)後差(cha)壓和(he)等熵(shang)指數(shu);d爲孔(kong)闆開(kai)孔直(zhi)徑,m;△p爲(wei)孔☀️闆(pan)前後(hou)斷面(mian)差壓(ya),Pa,可以(yi)采用(yong)蹉壓(ya)變送(song)器正(zheng)确測(ce)🐇量;ρ1爲(wei)介質(zhi)工作(zuo)狀态(tai)下的(de)密❤️度(du),kg/m3。由公(gong)式(3)計(ji)算得(de)出:

  式(shi)中:M爲(wei)于空(kong)氣的(de)摩爾(er)質量(liang),值爲(wei)289626kg/kmol;G爲天(tian)然滇(dian)實相(xiang)對密(mi)度;R爲(wei)通用(yong)氣體(ti)常數(shu),值爲(wei)0.00831451MPam3/(kmolK);Ze爲于(yu)空氣(qi)在标(biao)準參(can)比條(tiao)件🔞下(xia)的壓(ya)縮🌈因(yin)子,值(zhi)爲⛱️0.99963。
  式(shi)(1)(2)(3)中ρn、Tn、M、Za、R、C、d、β等(deng)參數(shu)爲标(biao)準大(da)氣壓(ya)、絕對(dui)溫度(du)、通用(yong)氣體(ti)常數(shu)等常(chang)數或(huo)與流(liu)量計(ji)尺寸(cun)相關(guan)的常(chang)量,取(qu)值确(que)定,不(bu)影🐅響(xiang)計量(liang)值的(de)精度(du)。而👅Vg、Pg、Tg、Zn、Zg等(deng)爲變(bian)量,其(qi)測量(liang)的精(jing)度直(zhi)接影(ying)響計(ji)量值(zhi)的精(jing)度。GB18603《天(tian)然氣(qi)計量(liang)系統(tong)技術(shu)要⚽求(qiu)》附錄(lu)A對以(yi)上變(bian)量的(de)精度(du)提🐕出(chu)明确(que)的要(yao)求[3),具(ju)體🐆要(yao)求見(jian)表1。
  表(biao)中溫(wen)度、勵(li)、工作(zuo)條件(jian)下的(de)體積(ji)流量(liang)均爲(wei)直接(jie)測量(liang)參數(shu),并⚽且(qie)可以(yi)通過(guo)選用(yong)高精(jing)度的(de)測量(liang)儀表(biao)降低(di)測🐕量(liang)誤差(cha)。而氣(qi)體的(de)壓縮(suo)因子(zi)是一(yi)個非(fei)直接(jie)測量(liang)量,其(qi)大小(xiao)與氣(qi)體的(de)組分(fen)、高位(wei)發熱(re)量、相(xiang)對密(mi)度、壓(ya)力和(he)溫度(du)等狀(zhuang)态參(can)數相(xiang)關🔅。
2壓(ya)縮因(yin)子對(dui)氣體(ti)标準(zhun)體積(ji)計算(suan)的影(ying)響
  目(mu)前國(guo)際上(shang)推薦(jian)采用(yong)AGA892DC和SGERG-88方(fang)程計(ji)算工(gong)作狀(zhuang)态下(xia)天⛷️然(ran)氣㊙️壓(ya)縮因(yin)子。我(wo)國起(qi)草發(fa)布《天(tian)然氣(qi)壓縮(suo)因子(zi)的計(ji)算》GB/T17747--2011也(ye)采用(yong)以上(shang)兩種(zhong)不同(tong)方法(fa)計算(suan)天然(ran)氣壓(ya)縮🏃因(yin)子。國(guo)際上(shang)多數(shu)流量(liang)計生(sheng)産廠(chang)家在(zai)流量(liang)計算(suan)機中(zhong)置入(ru)以上(shang)兩種(zhong)壓縮(suo)因子(zi)計算(suan)軟件(jian)。但是(shi)兩種(zhong)壓縮(suo)因子(zi)計算(suan)🏃🏻方法(fa)對管(guan)輸天(tian)然氣(qi)的組(zu)💋成範(fan)圍有(you)所💚限(xian)制,當(dang)天然(ran)氣中(zhong)乙烷(wan)含量(liang)超🥰出(chu)20%後,計(ji)算的(de)壓縮(suo)因子(zi)不确(que)定度(du)20.5%。通常(chang)‼️管輸(shu)乙烷(wan)氣體(ti)中乙(yi)烷含(han)量≥95%,遠(yuan)遠超(chao)出AGA8-92DC和(he)SGERG-88方程(cheng)的适(shi)用範(fan)圍。壓(ya)縮因(yin)子計(ji)算的(de)不确(que)定度(du)難以(yi)估算(suan),直接(jie)影響(xiang)交接(jie)計量(liang)的不(bu)确定(ding)度🔞。
3質(zhi)量流(liu)量計(ji)工作(zuo)原理(li)
  由于(yu)乙烷(wan)氣體(ti)壓縮(suo)因子(zi)計算(suan)的不(bu)确定(ding)度難(nan)以估(gu)計,因(yin)此在(zai)流量(liang)計選(xuan)型過(guo)程中(zhong)應該(gai)避開(kai)壓縮(suo)因子(zi)⛷️計算(suan)過程(cheng),建議(yi)選擇(ze)科裏(li)奧利(li)質量(liang)流量(liang)計計(ji)量乙(yi)烷氣(qi)體。
  科(ke)裏奧(ao)利質(zhi)量流(liu)星計(ji)(簡稱(cheng)科氏(shi)力流(liu)星計(ji))是一(yi)種利(li)用流(liu)體在(zai)振動(dong)管中(zhong)流動(dong)而産(chan)生與(yu)質量(liang)流量(liang)成正(zheng)比的(de)科裏(li)奧利(li)力的(de)原理(li)來直(zhi)接測(ce)量質(zhi)量流(liu)量的(de)儀表(biao)。流量(liang)計由(you)振動(dong)👣管、電(dian)磁驅(qu)動器(qi)和檢(jian)測器(qi)組🏃🏻成(cheng)。振動(dong)管(測(ce)量管(guan)道)是(shi)敏感(gan)器件(jian),有U形(xing)、0形、環(huan)形、直(zhi)管🌈形(xing)及螺(luo)旋形(xing)等幾(ji)種形(xing)狀㊙️,振(zhen)動管(guan)有單(dan)管、雙(shuang)管和(he)多管(guan)等形(xing)式,但(dan)基本(ben)原理(li)相同(tong)。
  U形管(guan)式科(ke)氏力(li)流量(liang)計的(de)測量(liang)原理(li)如圖(tu)1所示(shi)。U形管(guan)的⛹🏻‍♀️兩(liang)個🈲開(kai)口端(duan)固定(ding),流體(ti)由此(ci)流入(ru)和流(liu)出。U形(xing)管頂(ding)端裝(zhuang)有電(dian)🔞磁驅(qu)動器(qi),用于(yu)驅動(dong)U形管(guan)沿垂(chui)直于(yu)U形管(guan)🧡所在(zai)平面(mian)的方(fang)向以(yi)0-0爲軸(zhou)按固(gu)🌂有頻(pin)率㊙️振(zhen)動。U形(xing)管的(de)振動(dong)迫使(shi)管中(zhong)流體(ti)在沿(yan)管道(dao)流動(dong)的同(tong)時又(you)随管(guan)🤟道作(zuo)垂直(zhi)運動(dong),此時(shi)流體(ti)将受(shou)到科(ke)氏力(li)的作(zuo)用,同(tong)🌈時流(liu)體以(yi)反💛作(zuo)用力(li)作用(yong)于U形(xing)管。流(liu)體在(zai)U形管(guan)兩側(ce)的流(liu)動方(fang)向相(xiang)反,所(suo)以作(zuo)用于(yu)U形管(guan)🚶‍♀️兩側(ce)的科(ke)氏力(li)大小(xiao)相等(deng)方向(xiang)相反(fan),從而(er)使U形(xing)管受(shou)到一(yi)個力(li)矩的(de)😍作用(yong),使得(de)🥰振動(dong)管繞(rao)R-R軸産(chan)生扭(niu)轉變(bian)形,該(gai)變形(xing)量的(de)🐆大小(xiao)與通(tong)過流(liu)量計(ji)的質(zhi)量流(liu)量具(ju)有确(que)定的(de)關系(xi)☁️。檢測(ce)器測(ce)得這(zhe)個變(bian)彩量(liang),即可(ke)測得(de)管内(nei)介質(zhi)的質(zhi)量流(liu)量。
質(zhi)量流(liu)量計(ji)測量(liang)原理(li)圖示(shi)
  科裏(li)奧利(li)流量(liang)計可(ke)以将(jiang)被檢(jian)測的(de)流體(ti)質量(liang)流量(liang)直接(jie)體現(xian)出🙇‍♀️來(lai),質量(liang)作爲(wei)物質(zhi)本身(shen)的屬(shu)性其(qi)大小(xiao)不随(sui)溫度(du)、力等(deng)🙇‍♀️參數(shu)改變(bian)而改(gai)變,計(ji)量數(shu)據可(ke)直接(jie)用于(yu)供需(xu)雙方(fang)🤟交接(jie)計🏃‍♀️量(liang)。此外(wai)可以(yi)正确(que)測量(liang)氣體(ti)組分(fen),采用(yong)GB/T11062-2014《天然(ran)氣發(fa)熱量(liang)、密度(du)、相對(dui)密度(du)和沃(wo)泊指(zhi)數的(de)計算(suan)方法(fa)》正确(que)計算(suan)🐇乙烷(wan)氣體(ti)标準(zhun)狀況(kuang)下的(de)密度(du),進而(er)得到(dao)氣體(ti)标準(zhun)狀況(kuang)下的(de)體積(ji)流量(liang),甚至(zhi)熱:值(zhi)流量(liang)🔞。
4存在(zai)的問(wen)題及(ji)建議(yi)
4.1檢定(ding)問題(ti)
  由于(yu)氣體(ti)實流(liu)檢定(ding)成本(ben)高,送(song)檢周(zhou)期長(zhang),因此(ci)質量(liang)流量(liang)計❓的(de)用㊙️戶(hu)通常(chang)選擇(ze)采用(yong)液體(ti)(水)對(dui)流量(liang)計進(jin)👌行檢(jian)定/校(xiao)準。針(zhen)對液(ye)✊體檢(jian)定的(de)數據(ju)是否(fou)能夠(gou)真實(shi)反映(ying)氣體(ti)介質(zhi)運行(hang)工🐆況(kuang)下
的(de)計量(liang)性能(neng),在設(she)備投(tou)用前(qian)分别(bie)采用(yong)水和(he)天然(ran)氣兩(liang)種♌介(jie)質對(dui)相同(tong)型号(hao)的2台(tai)流量(liang)計進(jin)行了(le)檢定(ding)。試驗(yan)數據(ju)如表(biao)2所示(shi)。
由表(biao)2可知(zhi):
(1)同-台(tai)質量(liang)流量(liang)計用(yong)于液(ye)體計(ji)量的(de)精度(du)要高(gao)于氣(qi)🍓體計(ji)量的(de)精度(du)。主要(yao)原因(yin)是氣(qi)體的(de)密度(du)要遠(yuan)低于(yu)液體(ti)密度(du),因此(ci)計量(liang)🚶‍♀️氣體(ti)時,瞬(shun)時流(liu)量通(tong)常低(di)于流(liu)量計(ji)最👣大(da)量程(cheng)的
1/3,超(chao)出計(ji)量儀(yi)表的(de)最佳(jia)運行(hang)範圍(wei)。
(2)循環(huan)水标(biao)定的(de)數據(ju)如不(bu)超出(chu)流量(liang)計的(de)精度(du)等級(ji)的要(yao)求,氣(qi)㊙️體📞校(xiao)準的(de)數據(ju)也能(neng)保持(chi)在測(ce)量氣(qi)體規(gui)定的(de)精度(du)等級(ji)範圍(wei)🈲内。建(jian)議計(ji)量乙(yi)烷氣(qi)體的(de)質量(liang)流量(liang)計在(zai)不具(ju)備實(shi)流檢(jian)定條(tiao)件的(de)情況(kuang)下,可(ke)采用(yong)循環(huan)水進(jin)行檢(jian)定/校(xiao)🔞準,但(dan)檢定(ding)和校(xiao)準的(de)流量(liang)點應(ying)接近(jin)實際(ji)運行(hang)工況(kuang)下的(de)質量(liang)流量(liang),并按(an)照液(ye)體計(ji)量精(jing)度等(deng)級的(de)要求(qiu)進行(hang)評價(jia)[81。
4.2消除(chu)安裝(zhuang)應力(li)
  由于(yu)管道(dao)伸縮(suo)變形(xing)會造(zao)成應(ying)力,使(shi)得傳(chuan)感器(qi)零點(dian)發📞生(sheng)變化(hua)👨‍❤️‍👨,影響(xiang)測量(liang)精度(du)。因此(ci)質量(liang)流量(liang)計在(zai)安裝(zhuang)過程(cheng)🈲應注(zhu)意以(yi)下幾(ji)🎯點:.
(1)傳(chuan)感器(qi)的安(an)裝位(wei)置避(bi)開由(you)于溫(wen)度變(bian)化可(ke)能弓(gong)|起🛀伸(shen)縮和(he)變形(xing)較大(da)的工(gong)藝管(guan)段。
(2)傳(chuan)感器(qi)安裝(zhuang)法蘭(lan)必須(xu)與管(guan)道法(fa)蘭同(tong)軸連(lian)接以(yi)減‼️小(xiao)安裝(zhuang)應💞力(li),保證(zheng)測量(liang)精度(du)。
(3)應保(bao)證與(yu)傳感(gan)器上(shang)遊、下(xia)遊鏈(lian)接的(de)管道(dao)有穩(wen)固支(zhi)撐🐪物(wu)🈲,支撐(cheng)杆應(ying)以傳(chuan)感器(qi)爲中(zhong)心對(dui)稱分(fen)布,支(zhi)撐杆(gan)與基(ji)礎牢(lao)固連(lian)接。傳(chuan)感器(qi)安裝(zhuang)位置(zhi)附近(jin)管道(dao)線上(shang)的閥(fa)]或泵(beng)都需(xu)要有(you)其
自(zi)己的(de)支撐(cheng)物,不(bu)與傳(chuan)感器(qi)共用(yong)同一(yi)支撐(cheng)物。
(4)爲(wei)消除(chu)安裝(zhuang)應力(li),安裝(zhuang)傳感(gan)器時(shi)應先(xian)配管(guan),将工(gong)藝管(guan)線、閥(fa)門與(yu)傳感(gan)器整(zheng)體預(yu)先安(an)裝好(hao)并吊(diao)裝,再(zai)将其(qi)與工(gong)藝主(zhu)管線(xian)焊⭕接(jie),焊接(jie)時應(ying)使傳(chuan)感器(qi)、閥門(men)及工(gong)藝主(zhu)管線(xian)處于(yu)同鉛(qian)垂面(mian)内。

4.3壓(ya)力補(bu)償
  力(li)影響(xiang)定義(yi)爲過(guo)程壓(ya)力偏(pian)離檢(jian)定/校(xiao)準壓(ya)力而(er)引起(qi)的傳(chuan)感器(qi)靈敏(min)度的(de)變化(hua)101。流體(ti)過程(cheng)壓力(li)增大(da)會⛹🏻‍♀️使(shi)測👣量(liang)振動(dong)管呈(cheng)繃緊(jin)現象(xiang),這種(zhong)壓力(li)效應(ying)雖然(ran)影響(xiang)量很(hen)小,但(dan)是當(dang)使用(yong)時過(guo)程壓(ya)力與(yu)标定(ding)壓力(li)相👄差(cha)很大(da)時,對(dui)于高(gao)精度(du)質量(liang)流💚量(liang)計精(jing)度的(de)影響(xiang)還❌是(shi)不容(rong)忽視(shi)的,尤(you)其是(shi)對于(yu)管徑(jing)大、測(ce)🔴量管(guan)壁厚(hou)小的(de)質量(liang)流量(liang)計影(ying)響更(geng)大。
  日(ri)常工(gong)作中(zhong)的壓(ya)力補(bu)償方(fang)法有(you)流量(liang)系數(shu)标定(ding)法、靜(jing)态壓(ya)力補(bu)🌏償法(fa)和動(dong)态壓(ya)力補(bu)償法(fa)。具體(ti)方法(fa)可💞以(yi)根據(ju)現場(chang)的運(yun)行㊙️工(gong)作,參(can)照廠(chang)家的(de)說明(ming)書進(jin)行補(bu)償。對(dui)于運(yun)行壓(ya)力相(xiang)🐉對穩(wen)定的(de)計量(liang)工藝(yi),可采(cai)用📱靜(jing)态壓(ya)力補(bu)償法(fa)。根據(ju)廠家(jia)提供(gong)的流(liu)量計(ji)産品(pin)樣本(ben),可以(yi)查閱(yue)到需(xu)要進(jin)行靜(jing)态壓(ya)力補(bu)償的(de)流量(liang)計型(xing)号,并(bing)粗分(fen)别🍓找(zhao)出壓(ya)力對(dui)流量(liang)和密(mi)度影(ying)響的(de)系數(shu),然後(hou)用H
HART手(shou)抄器(qi) 或ProLinkI12.0軟(ruan)件寫(xie)入流(liu)量計(ji)。
4.4避免(mian)雜質(zhi)聚集(ji)
  測量(liang)管内(nei)壁磨(mo)損腐(fu)蝕或(huo)沉積(ji)結垢(gou)會影(ying)響測(ce)量精(jing)度,對(dui)于計(ji)❓量介(jie)質爲(wei)氣體(ti)的質(zhi)量流(liu)量計(ji)應采(cai)用外(wai)🔞殼朝(chao)上水(shui)平安(an)裝、傾(qing)斜45°或(huo)垂直(zhi)安裝(zhuang)傳感(gan)器3種(zhong)方式(shi),如圖(tu)2所示(shi),避免(mian)冷凝(ning)液聚(ju)積在(zai)傳感(gan)器振(zhen)動管(guan)内。
質(zhi)量流(liu)量計(ji)用氣(qi)體計(ji)量的(de)安裝(zhuang)示意(yi)圖
4.5避(bi)免天(tian)然氣(qi)冰合(he)物
  在(zai)一定(ding)壓力(li)、溫度(du)下,天(tian)然氣(qi)中的(de)某些(xie)成分(fen)與水(shui)生成(cheng)一🔞種(zhong)外形(xing)像冰(bing)的籠(long)形化(hua)台物(wu)。氣體(ti)壓力(li)的波(bo)動🌏、流(liu)速突(tu)變産(chan)生💃🏻攪(jiao)動會(hui)加速(su)水合(he)物的(de)形成(cheng),氣體(ti)的相(xiang)對密(mi)度越(yue)大生(sheng)成水(shui)合物(wu)的溫(wen)度範(fan)圍越(yue)寬。科(ke)裏奧(ao)利質(zhi)量流(liu)量計(ji)振動(dong)管内(nei)徑細(xi)小,在(zai)管路(lu)中屬(shu)于節(jie)流元(yuan)件,對(dui)氣流(liu)有一(yi)定的(de)擾動(dong),乙烷(wan)氣體(ti)相對(dui)密度(du)較天(tian)然大(da),在計(ji)量裝(zhuang)置前(qian)後很(hen)容易(yi)形成(cheng)水合(he)物阻(zu)塞管(guan)路。因(yin)此在(zai)💛設計(ji)過程(cheng)中應(ying)盡可(ke)能減(jian)少計(ji)量線(xian)路中(zhong)阻流(liu)件的(de)設置(zhi),必要(yao)時需(xu)要對(dui)流量(liang)計進(jin)行保(bao)溫,避(bi)開水(shui)合物(wu)形成(cheng)的溫(wen)度及(ji)壓力(li)範圍(wei)。
5結束(shu)語
  乙(yi)烷交(jiao)接計(ji)量目(mu)前尚(shang)無可(ke)以遵(zun)循的(de)國家(jia)或行(hang)業标(biao)🧑🏽‍🤝‍🧑🏻準,SYT6659--2016《用(yong)科裏(li)奧利(li)質量(liang)流量(liang)計測(ce)量天(tian)然氣(qi)流量(liang)》标準(zhun)中✉️規(gui)定适(shi)用的(de)天然(ran)氣相(xiang)對密(mi)度範(fan)圍爲(wei)0.554~0.870,商品(pin)乙㊙️烷(wan)氣體(ti)的相(xiang)對🔴密(mi)度超(chao)👨‍❤️‍👨出了(le)該範(fan)圍,被(bei)排除(chu)在标(biao)準的(de)适用(yong)範圍(wei)外。但(dan)是該(gai)标準(zhun)在質(zhi)量轉(zhuan)換體(ti)積量(liang)的計(ji)算方(fang)法并(bing)不涉(she)及壓(ya)縮因(yin)子的(de)計算(suan),從理(li)論上(shang)講🌏對(dui)氣體(ti)的真(zhen)🌈實相(xiang)對密(mi)度不(bu)應該(gai)有所(suo)限制(zhi)。如果(guo)将該(gai)标準(zhun)=氣🔅體(ti)的适(shi)用範(fan)圍擴(kuo)大,乙(yi)烷交(jiao)接計(ji)量就(jiu)有據(ju)可循(xun)了。
  乙(yi)烷氣(qi)體交(jiao)接計(ji)量的(de)測量(liang)方法(fa)不應(ying)僅局(ju)限于(yu)質量(liang)流😄量(liang)🤟計的(de)測量(liang)方法(fa),可以(yi)進一(yi)步探(tan)索乙(yi)烷t氣(qi)體壓(ya)縮因(yin)子計(ji)算方(fang)法,對(dui)GB/T17747适用(yong)範圍(wei)進行(hang)補充(chong),從而(er)爲乙(yi)烷氣(qi)體交(jiao)接計(ji)量器(qi)具選(xuan)擇的(de)多樣(yang)性提(ti)供技(ji)術支(zhi)撐。

以(yi)上内(nei)容源(yuan)于網(wang)絡,如(ru)有侵(qin)權聯(lian)系即(ji)删除(chu)!

下篇(pian)文章(zhang): 對稱(cheng)多孔(kong)孔闆(pan)差壓(ya)式流(liu)量計(ji)計量(liang)性能(neng) 上篇(pian)文章(zhang) 一種(zhong)典型(xing)的孔(kong)闆流(liu)量計(ji)故障(zhang)處理(li)
江蘇(su)省凯祥医疗器械有限公司是(shi)一家(jia)專業(ye)提供(gong) 渦街(jie)流量(liang)計 渦(wo)輪流(liu)量計(ji) 電磁(ci)流量(liang)計 的(de)企業(ye),公司(si)将以(yi)優質(zhi)的服(fu)務優(you)惠的(de)價格(ge),服務(wu)新老(lao)客戶(hu)。
 版權(quan)所有(you):江蘇(su)省凯祥医疗器械有限公司      

·
··
 
·
··