99re在线播放 大口徑氣體管道流量計選型-江蘇省凯祥医疗器械有限公司
;                  
                   
          首   頁(ye)  公司簡介(jie)  産品中心(xin)  銷售網絡(luo)  聯系我們(men)
 
  溫度儀表(biao)系列
  壓力(li)儀表系列(lie)
  流量儀表(biao)系列
  校驗(yan)儀表系列(lie)
  顯示儀表(biao)系列
  變送(song)器儀表系(xi)列
  電線電(dian)纜系列
  電(dian)磁流❌99re在线播放🐪量計(ji)的工作原(yuan)理
  氧化锆(gao)氧傳感器(qi)的原理及(ji)應用
  有害(hai)氣體檢測(ce)報警儀選(xuan)用原則
  我(wo)國計量用(yong)儀器儀表(biao)的發展和(he)現狀
  國内(nei)儀器儀表(biao)行業将發(fa)生高科....
  西(xi)安交大研(yan)制出超高(gao)溫沖擊壓(ya)....
  采用半導(dao)體精密溫(wen)度傳感......
 
  簡(jian)述幾種氣(qi)體檢測傳(chuan)感器.....
  利用(yong)傳感器技(ji)術制造智(zhi)能服裝
  新(xin)型傳感器(qi)監控魚群(qun)數量
   
 
聯系(xi)方式
       
        
   (拓(tuo)展部):
 傳真(zhen):
 節假日商(shang)務聯系電(dian)話:
 何經理(li):
 劉經理:
 郵(you)編:211600
 網址:/
     [email protected]
 地(di)址:江蘇省(sheng)金湖縣工(gong)業園區環(huan)城西
 路269号(hao)
 您現在的(de)位置 > 首頁(ye) > 行業新聞(wen) > 大口徑氣(qi)體管道流(liu)量計選型(xing)
   

大口徑氣(qi)體管道流(liu)量計選型(xing)
發布時間(jian):2025-11-27

摘要:某冶(ye)煉企業每(mei)年用氧氣(qi)量約4億立(li)方米,流量(liang)計量稍有(you)偏❤️差,每年(nian)可能造成(cheng)上百萬的(de)損失。故對(dui)㊙️幾種😍可應(ying)用于大口(kou)徑管道氣(qi)體流量計(ji) 進行了對(dui)比分析,發(fa)現 平衡流(liu)量計 有良(liang)好的正确(que)率和穩定(ding)性,項目最(zui)終采用了(le)平衡流☎️量(liang)計作爲貿(mao)易計量器(qi)具。
國内冶(ye)煉企業配(pei)套空分項(xiang)目大多是(shi)企業内部(bu)運營🧑🏾‍🤝‍🧑🏼管👣理(li)。随🌈着制氧(yang)技術的發(fa)展和人力(li)物力成本(ben)的上升,冶(ye)煉企業⛹🏻‍♀️越(yue)來越傾向(xiang)于将制氧(yang)系統通過(guo)BOO(Building-Owning-Operation)的方式交(jiao)給專業團(tuan)隊來建設(she)運營,再通(tong)過購買氣(qi)體的方式(shi)獲🍓得氧氣(qi),這就涉及(ji)到供氣方(fang)與用氣方(fang)之間的貿(mao)易計量。企(qi)業正常⛱️生(sheng)産時對純(chun)度爲99.6%的高(gao)純💃🏻氧需量(liang)爲47000Nm3/h,最大🎯需(xu)量爲54000Nm3/h,最小(xiao)需量爲10000Nm3/h,氧(yang)氣輸送管(guan)道通徑達(da)1200mm。通過對杭(hang)⁉️氧等國🏃🏻‍♂️内(nei)空分廠家(jia)調查發現(xian),其計♌量儀(yi)表多采用(yong) 标準孔闆(pan)流量計 ,少(shao)量采用巴(ba)類等均速(su)管流量計(ji)。而法國液(ye)化空氣、德(de)國林德等(deng)國外廠家(jia)中熱式氣(qi)體質量流(liu)量計也廣(guang)泛🔞使用,并(bing)開始嘗👌試(shi)使用新型(xing)平衡流量(liang)計用于貿(mao)易結算。
  雖(sui)然巴類流(liu)量計采用(yong)的子彈頭(tou)截面傳感(gan)器,實驗室(shi)測量精度(du)提高到0.72%,但(dan)工業現場(chang)影響其測(ce)量精度的(de)因素過多(duo),此🐪處隻對(dui)标準孔闆(pan)流量計、熱(re)式氣體質(zhi)量流量計(ji)和平衡流(liu)量計進行(hang)比較。
1流量(liang)計的特點(dian)
1.1标準孔闆(pan)流量計
  标(biao)準孔闆流(liu)量計是一(yi)種廣泛使(shi)用的流量(liang)計,孔闆的(de)特✊征尺寸(cun)和加工工(gong)藝按照國(guo)家标準GB/T2624.2-2006執(zhi)行,檢定按(an)JJG640-2016執行。标💚準(zhun)孔闆流量(liang)計的優點(dian)是制造簡(jian)單,一般不(bu)需要實流(liu)标定就可(ke)直接投入(ru)使用。缺點(dian)較多,标準(zhun)孔闆有一(yi)個銳角🏃🏻‍♂️,長(zhang)期使用存(cun)在“銳角㊙️磨(mo)損”問題🔆,測(ce)量精度随(sui)⛱️時間推移(yi)越來越低(di)。其次計量(liang)院對标👅準(zhun)孔闆一般(ban)👉采用物理(li)檢定,也就(jiu)是測量幾(ji)何尺寸和(he)銳角偏差(cha),有特⛷️殊要(yao)求時才用(yong)水進行實(shi)流檢定,測(ce)✔️量誤差在(zai)±(1%~5%)之間。同時(shi)标準孔闆(pan)壓損大,量(liang)程比小(爲(wei)3∶1),安裝要求(qiu)直管段滿(man)足前10D後5D[1]。

  盡(jin)管标準孔(kong)闆有如此(ci)多的缺點(dian),但其制造(zao)、檢定過程(cheng)🥵均按國家(jia)标準執行(hang),故在貿易(yi)計量中仍(reng)被大量使(shi)用🆚。要求量(liang)程比至少(shao)達到6∶1,标準(zhun)孔闆流量(liang)計無法滿(man)足使用要(yao)求。
1.2熱式氣(qi)體質量流(liu)量計
  熱式(shi)氣體質量(liang)流量計 是(shi)基于金氏(shi)定律的一(yi)種插入式(shi)流量計,适(shi)合大管道(dao)流體測量(liang),FCI、Sierra、Kurz這3個品牌(pai)的熱式氣(qi)體質量流(liu)量計已有(you)幾十年🤟的(de)曆史。熱式(shi)氣體質量(liang)流量計理(li)論模型爲(wei):
H=ΔTCpM(1)
式中
Cp———定壓(ya)比熱容,與(yu)氣體種類(lei)有關;
H———加熱(re)電功率;
M———質(zhi)量流量;
ΔT———兩(liang)個探頭的(de)溫差。
  式(1)可(ke)以引出兩(liang)種類型的(de)産品:恒溫(wen)差型和恒(heng)功率型。兩(liang)類傳感器(qi)都由兩個(ge)并排的 熱(re)電阻 組成(cheng),其中一個(ge)普通熱電(dian)阻測量管(guan)道内氣體(ti)的溫度,另(ling)一🈲個熱電(dian)阻帶加熱(re)絲由電流(liu)進行加熱(re),當氣🤞體流(liu)經熱電阻(zu),就會有冷(leng)卻效應帶(dai)走熱量。由(you)式(1)可💘知,對(dui)于💞恒溫差(cha)型流量👈計(ji)溫差ΔT恒定(ding),當質量流(liu)量M增加時(shi),冷卻效應(ying)就增加,爲(wei)保持兩個(ge)熱電阻的(de)溫差💘恒定(ding)所需的加(jia)熱功率H增(zeng)加,而加在(zai)加熱電阻(zu)上的功率(lü)H與質量流(liu)量M成正比(bi),測量功率(lü)H的大小可(ke)以計算出(chu)流過管道(dao)的氣體質(zhi)量。對于恒(heng)功率型,加(jia)在加熱電(dian)阻上的功(gong)率H始終保(bao)持恒定,在(zai)介🔴質靜止(zhi)時溫差最(zui)大,随着介(jie)質流動溫(wen)差減小,溫(wen)差ΔT與質量(liang)流量M成反(fan)比,通過測(ce)量溫差的(de)變化來獲(huo)取流量的(de)變化🏃🏻[2]。恒溫(wen)差型響應(ying)速度快,在(zai)流速低到(dao)0.1Nm/s時都能保(bao)持很好的(de)線性,随着(zhe)速度增大(da),精度🈲降低(di)。而恒功率(lü)型适合高(gao)速介✨質,流(liu)速高達400Nm/s以(yi)上還可測(ce)量,但兩種(zhong)類型的熱(re)式流量計(ji)對于👌導熱(re)性極好的(de)氫氣等介(jie)質都🐅不适(shi)用。
熱式氣(qi)體質量流(liu)量計測量(liang)的是質量(liang)流量,無需(xu)溫壓補💜償(chang),響⁉️應快[3],高(gao)性能型号(hao)實驗室測(ce)量誤差爲(wei)±0.1%RS±0.5%FS,在📐要求高(gao)精度時多(duo)采用網🈲格(ge)法來确認(ren)安裝的最(zui)佳插入深(shen)度,同時可(ke)在管道同(tong)一截面不(bu)同位置安(an)裝多支傳(chuan)感器取平(ping)均值作爲(wei)最終流體(ti)流💯量,現在(zai)FCI某系列的(de)流量計上(shang)帶有2~3對👄傳(chuan)感器。
1.3平衡(heng)流量計
  A+K平(ping)衡流量計(ji)最早是NASA針(zhen)對航天飛(fei)機的主發(fa)動機液氧(yang)🔆測量而發(fa)明的一種(zhong)流量計。它(ta)相當于一(yi)個帶整流(liu)器的多孔(kong)孔闆,每個(ge)孔的尺寸(cun)和分布基(ji)于獨特⭕的(de)公式🥰和測(ce)試數據定(ding)✂️制,數量一(yi)般爲4~26個,開(kai)孔數量、分(fen)布及大小(xiao)等參數🈲都(dou)在美國計(ji)算,國内按(an)照計算結(jie)果加工制(zhi)作。當流體(ti)從多個孔(kong)中流過時(shi),渦流明💘顯(xian)減少,形成(cheng)的是平衡(heng)穩定的流(liu)場,通過取(qu)壓裝置可(ke)獲得穩🌏定(ding)的壓差信(xin)号,根據伯(bo)努利方程(cheng)計算出體(ti)積流量,溫(wen)壓補償後(hou)得到最終(zhong)流量。常規(gui)量程比爲(wei)10∶1~7∶1,最大可以(yi)做到30∶1,無銳(rui)角,可雙向(xiang)測量,永久(jiu)壓力損失(shi)爲标準孔(kong)闆的1/3~1/2,由于(yu)降🔴低了渦(wo)流、振動和(he)信号噪聲(sheng),流場穩定(ding),測量精度(du)比标💜準孔(kong)闆流量計(ji)高5~10倍,穩定(ding)性更好[4]。缺(que)點是爲非(fei)标産品。爲(wei)保證現場(chang)測量精度(du)和便于計(ji)量院檢定(ding),一般采用(yong)管道式平(ping)衡流量計(ji),質量大,安(an)裝運輸不(bu)方便。
2流量(liang)計檢定
2.1标(biao)準孔闆流(liu)量計
  标準(zhun)孔闆流量(liang)計的檢定(ding)在第1.1節已(yi)提及,此處(chu)不再贅述(shu)。
2.2熱式氣體(ti)質量流量(liang)計
  熱式氣(qi)體質量流(liu)量計出廠(chang)時要進行(hang)實溫實壓(ya)實流标🐉定(ding),可溯源到(dao)NIST。目前隻有(you)美國本土(tu)有實流标(biao)定🧑🏾‍🤝‍🧑🏼實驗🌏室(shi)。在國内省(sheng)級計量院(yuan)一般進行(hang)N2、O2、CO及NO等接近(jin)理💚想氣體(ti)雙原子氣(qi)體檢定時(shi),不進行實(shi)流檢定,而(er)是❄️直接用(yong)空🔞氣作爲(wei)介質,根據(ju)下式進行(hang)計🧑🏾‍🤝‍🧑🏼算:
H=ΔTCpM=ΔTCpρVt(2)
式中(zhong)
t———時間;
V———流速(su);
ρ———密度。
  根據(ju)式(2)可知測(ce)量出某一(yi)時間段t内(nei)管道的空(kong)氣平均流(liu)速V,得到空(kong)氣的質量(liang)流量,再通(tong)過空氣和(he)氧氣定壓(ya)比熱容關(guan)系換算爲(wei)氧氣的質(zhi)量流量。轉(zhuan)換過程中(zhong)一般有±1%RS±1%FS的(de)🌈誤差。
2.3平衡(heng)流量計
  平(ping)衡流量計(ji)不是标準(zhun)件,使用前(qian)需要送至(zhi)計量院💔對(dui)測量🌈精度(du)🛀🏻和重複性(xing)進行檢定(ding),流通介質(zhi)爲水,送檢(jian)前🔞設備㊙️廠(chang)家會以🌐氧(yang)氣和水的(de)雷諾數爲(wei)橋梁出一(yi)份介📞質爲(wei)水的計算(suan)書,給計量(liang)院作爲參(can)考。爲避免(mian)安裝過程(cheng)對測量🏒精(jing)度造成過(guo)大幹擾✉️,選(xuan)用管道式(shi)平衡流量(liang)計,通徑1200mm,在(zai)東☔南地區(qu)能實流檢(jian)定1000mm以上🈚孔(kong)闆的計量(liang)院僅有開(kai)封市的國(guo)家水大流(liu)量計量站(zhan)和常州市(shi)計量測試(shi)技術研究(jiu)所,而且檢(jian)定周期長(zhang)。
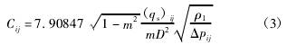
  檢定過程(cheng)遵照JJG640-2016[5]采用(yong)标定流出(chu)系數的方(fang)法,流出系(xi)數公式🤟爲(wei):

式中
Cij———第i檢(jian)定點第j次(ci)檢測的流(liu)出系數值(zhi);
D———管道内徑(jing),mm;m———節流面積(ji)比;
(qs)ij———第i檢定(ding)點第j次檢(jian)測标準流(liu)量值,m3/h;
Δpij———第i檢(jian)定點第j次(ci)檢測标準(zhun)壓差值,kPa;
ρ1———水(shui)的密度,kg/m3。
  根(gen)據式(3)可知(zhi),隻要測出(chu)第i檢定點(dian)第j次标準(zhun)流量值💛和(he)第🌈i檢🏃🏻‍♂️定點(dian)第j次壓差(cha)值就可得(de)到流出系(xi)數,标準🌍流(liu)量值可🈲通(tong)過标準電(dian)磁流量計(ji)讀出,壓差(cha)值可通過(guo)平衡流量(liang)計上安裝(zhuang)的标準差(cha)壓變送器(qi)讀出。檢定(ding)過程中選(xuan)取Qmax、3/4Qmax、1/2Qmax、1/4Qmax、Qmin共計☎️5個(ge)點,每個點(dian)測量4次。标(biao)準流量👌值(zhi)和壓差值(zhi)由計算機(ji)系統自動(dong)采集,得到(dao)平衡流💃🏻量(liang)計的Cij。
各檢(jian)測點流出(chu)系數Ci爲:

3對(dui)比結論
  從(cong)功能特點(dian)對比3種類(lei)型的流量(liang)計可以發(fa)現,标準孔(kong)闆💔流量計(ji)爲标準件(jian),精度不高(gao)、重複性差(cha)、價格低🥰,量(liang)程♍比3∶1,不能(neng)滿足目的(de)要求。熱式(shi)氣體質量(liang)流量計量(liang)程比可達(da)100∶1,直接測量(liang)氣體質量(liang)流量,無需(xu)溫壓補償(chang),但是對測(ce)量氣體組(zu)分要求較(jiao)高,氣體内(nei)不能含♊水(shui),且組分不(bu)能有變化(hua),否則會嚴(yan)重影響測(ce)量精度📐。同(tong)時直管段(duan)要求較高(gao),一般爲前(qian)20D後5D,對于前(qian)方有兩個(ge)不同向☁️的(de)彎頭♋時,要(yao)求前50D後5D。A+K平(ping)衡流量計(ji)基于壓差(cha)測量流量(liang)原理,可靠(kao)性高,量程(cheng)比在10∶1左右(you),重複性和(he)長期穩定(ding)性好,所需(xu)前後直管(guan)段短(前2D後(hou)2D),永久壓😄損(sun)較低,節約(yue)能源。但需(xu)要溫壓補(bu)償,計量精(jing)度爲整☎️個(ge)系統的精(jing)度,價格也(ye)随管⛷️徑的(de)增大而增(zeng)大,大管🔱徑(jing)流量計價(jia)格更是成(cheng)倍增加。
  從(cong)檢定角度(du)對比,标準(zhun)孔闆流量(liang)計一般進(jin)行幾何檢(jian)🛀🏻定,可❗信度(du)低。熱式氣(qi)體質量流(liu)量計省級(ji)計量院可(ke)用标流速(su)的方法📐進(jin)行檢定,拆(chai)下檢修或(huo)标定期間(jian)可不停氣(qi),不👌影響生(sheng)産,但是計(ji)量院檢定(ding)誤差較大(da)。A+K平衡流量(liang)計需通⭕水(shui)進行檢定(ding),檢定結論(lun)可信度高(gao),但大管徑(jing)流量計檢(jian)定比較困(kun)難,東南地(di)區僅兩家(jia)計量院可(ke)檢💛定。綜上(shang)所述,除檢(jian)定困難以(yi)外,A+K平衡流(liu)量計更能(neng)滿足♋企業(ye)對🏃🏻計量準(zhun)确性和長(zhang)期穩定性(xing)的需求,加(jia)上檢定周(zhou)期爲兩年(nian)甚至更長(zhang),不需要頻(pin)繁檢定⚽。
4結(jie)束語
  兩套(tao)同批次同(tong)類型的平(ping)衡流量計(ji)分别安裝(zhuang)在供氣方(fang)和用氣方(fang)廠區交界(jie)處,計量院(yuan)檢定結果(guo)顯示,其中(zhong)💋一套平衡(heng)🧑🏾‍🤝‍🧑🏼流量計精(jing)确度爲±0.6031%,另(ling)一套精度(du)爲±0.5538%,重複性(xing)均優于0.01%。實(shi)🌈際運行過(guo)程中♋,兩套(tao)流量計最(zui)大示值偏(pian)差遠低于(yu)1%,優于合同(tong)中商定的(de)允許最大(da)3%的偏🌈差。

以(yi)上内容來(lai)源于網絡(luo),如有侵權(quan)請聯系即(ji)删除!

下篇(pian)文章: 氣化(hua)爐煤漿流(liu)量計測量(liang)問題解析(xi) 上篇文章(zhang) 孔闆流量(liang)計取壓方(fang)式研究
 
江(jiang)蘇省凯祥医疗器械有限公司是一(yi)家專業提(ti)供 渦街流(liu)量計 渦輪(lun)流量計 電(dian)磁流量計(ji) 的企業,公(gong)司将以優(you)質的服務(wu)優惠的價(jia)格,服務新(xin)老客戶。
    技術(shu)支持易品(pin)網絡

 
·
· 
·