渦輪流(liu)量計介紹(shao) 發布時間(jian):2025-11-27
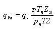
第一節 概(gai)論 渦輪流(liu)量計 (以下(xia)簡稱渦輪(lun)流量計)是(shi)葉輪式流(liu)量(流速)計(ji)的主要品(pin)種,葉輪式(shi)流量計還(hai)有風速計(ji)、水表等。 在(zai)各種流量(liang)計中渦輪(lun)流量計、容(rong)積式流量(liang)計和科氏(shi)質量流👣量(liang)計是三類(lei)重複性、精(jing)度最佳的(de)産品,而渦(wo)輪流量計(ji)又具有💋自(zi)己的特點(dian),如結構簡(jian)單、加工零(ling)部件😄少、重(zhong)量輕、維修(xiu)方便、流通(tong)能力大(同(tong)樣口徑可(ke)通過的流(liu)量大)和可(ke)适應高參(can)數(高溫🙇🏻、高(gao)壓和低溫(wen))等。至今,這(zhe)類流量計(ji)産品可達(da)技術🥵參數(shu):口徑4~750mm,壓㊙️力(li)達250MPa,溫度爲(wei)-240~700℃,像這樣的(de)技術參數(shu)其他兩類(lei)流量計🔅則(ze)是難以達(da)到的。 渦輪(lun)流量計廣(guang)泛應用于(yu)以下一些(xie)測量對象(xiang):石油🧑🏽🤝🧑🏻、有機(ji)液體、無機(ji)液、液化氣(qi)、天然氣、煤(mei)氣和低溫(wen)流體等。在(zai)國外液化(hua)石油氣、成(cheng)品油和輕(qing)質原油等(deng)的轉運及(ji)集輸站,大(da)型原油輸(shu)送管線的(de)首末站都(dou)大量采用(yong)它進行貿(mao)易結算。在(zai)歐洲和美(mei)國渦輪流(liu)量計是僅(jin)次于孔闆(pan)流量計的(de)天然氣計(ji)量儀表,僅(jin)荷蘭在天(tian)然氣管線(xian)👣上就采用(yong)了2600多台各(ge)種尺寸,壓(ya)力從0.8MPa到6.5MPa的(de)氣體渦輪(lun)流量計,他(ta)們已成爲(wei)優良的天(tian)然氣流量(liang)計。 盡管渦(wo)輪流量計(ji)的優良計(ji)量特性受(shou)到人們的(de)青睐,可是(shi)給人❓的印(yin)象是由活(huo)動部件,使(shi)用期短,在(zai)選✂️用時不(bu)免躊躇,經(jing)過♍人們💋的(de)不懈努力(li),應該說情(qing)況大有改(gai)觀。 渦輪流(liu)量計作爲(wei)最通用的(de)流量計,其(qi)産品已發(fa)展🈲爲多品(pin)種、全🔞系列(lie)、多規格批(pi)量生産的(de)規模。應該(gai)指出,渦輪(lun)流量計除(chu)前述工業(ye)部門大量(liang)應用外,在(zai)一些特殊(shu)部門亦得(de)到廣🌈泛應(ying)用,如科研(yan)實驗、國防(fang)科技、計量(liang)部門,這些(xie)領域的使(shi)用‼️恰好避(bi)開了其弱(ruo)點(不适于(yu)長期連續(xu)使用),充💘分(fen)發揮其特(te)點(精度佳(jia),重複性好(hao),可用于🏃高(gao)壓、高溫、低(di)溫及微流(liu)量等條件(jian))。在👅這些領(ling)域,大多是(shi)根據被測(ce)對象的特(te)殊要求進(jin)行專門的(de)結構設計(ji),它們是專(zhuan)用儀表不(bu)進行批量(liang)生産。 第二(er)節 工作原(yuan)理 圖1所(suo)示爲渦輪(lun)流量計傳(chuan)感器結構(gou)圖,由圖可(ke)見,當被測(ce)流體流過(guo)傳感器時(shi),在流體作(zuo)用下,葉輪(lun)受力旋轉(zhuan),其轉速與(yu)管道平均(jun)流速成正(zheng)比,葉輪的(de)轉動周期(qi)地改變磁(ci)電轉換器(qi)的磁阻值(zhi)。檢測線圈(quan)中磁通随(sui)之發生周(zhou)期性變化(hua),産生🛀🏻周期(qi)性的🙇🏻感應(ying)電勢,即電(dian)脈沖信号(hao),經放大器(qi)放大後,送(song)至顯示儀(yi)表顯示。 渦(wo)輪流量計(ji)的實用流(liu)量方程爲(wei) qv=f/K (7.1) qm=qvρ (7.2) 式中 qv,qm-分别(bie)爲體積流(liu)量,m3/s,質量流(liu)量,kg/s; f-流量計(ji)輸出信号(hao)的頻率,Hz; K-流(liu)量計的儀(yi)表系數,P/m3。 流(liu)量計的儀(yi)表系數與(yu)流量(或管(guan)道雷諾數(shu))的關系🤩曲(qu)線如圖2所(suo)示。由圖可(ke)見,儀表系(xi)數可分爲(wei)二段,即線(xian)性段和非(fei)線性段。線(xian)性段約爲(wei)工作段的(de)三分之二(er),其特性與(yu)傳🌈感器結(jie)構尺寸及(ji)流體🐇粘性(xing)有關。在非(fei)線性段,特(te)性受軸💔承(cheng)摩擦力,流(liu)體粘性阻(zu)力影響☁️較(jiao)大。當流量(liang)低于傳感(gan)器📧流量下(xia)限時,儀表(biao)系數随📧着(zhe)流量迅速(su)變⛹🏻♀️化。壓力(li)損失與流(liu)量近似爲(wei)平方關系(xi)。當流量超(chao)過流量上(shang)限時要注(zhu)意防止空(kong)穴現象。結(jie)構相似的(de)渦輪流量(liang)計特性曲(qu)線的形狀(zhuang)是相似的(de),他僅在系(xi)統誤差水(shui)平方面有(you)所不同。 傳感器的(de)儀表系數(shu)由流量校(xiao)驗裝置校(xiao)驗得出,它(ta)📐完全不問(wen)傳感器内(nei)部流體的(de)流動機理(li),把傳感器(qi)作爲一個(ge)黑匣子,根(gen)據輸入(流(liu)量)和輸出(chu)(頻率脈沖(chong)信号)确定(ding)其轉換系(xi)數,它便于(yu)實際應✊用(yong)。但要注意(yi),此轉換系(xi)數(儀表系(xi)數)是有條(tiao)件的,其校(xiao)驗條件是(shi)🌏參考條件(jian),如果使用(yong)時偏離此(ci)條件,系數(shu)将發生變(bian)💞化,變化的(de)情況視傳(chuan)感器類型(xing),管道安裝(zhuang)條件和流(liu)體物性參(can)🌈數的情況(kuang)而定。 第三(san)節 主要特(te)點 1)精度佳(jia),對于液體(ti)一般爲±0.25%R-±0.5%R,精(jing)度型可達(da)±0.15%R;而介質爲(wei)氣體,一般(ban)爲±1%R-±1.5%R,特殊專(zhuan)用型爲±0.5%R-±1%R。在(zai)所有流量(liang)計中,它屬(shu)于最精㊙️确(que)的。 2)重複性(xing)好,短期重(zhong)複性可達(da)0.05%-0.2%,正是由于(yu)具有良好(hao)的重✌️複性(xing),如經常校(xiao)準或在線(xian)校準可得(de)極高的精(jing)度,在貿易(yi)結算中👅是(shi)優先選用(yong)的流量計(ji)。 3)輸出脈沖(chong)頻率信号(hao),适于總量(liang)計量及與(yu)計算機連(lian)接,無🔴零點(dian)漂移,抗幹(gan)擾能力強(qiang)。 4)可獲得很(hen)高的頻率(lü)信号(3-4kHz),信号(hao)分辨力強(qiang)。 5)範圍度寬(kuan),中大口徑(jing)可達40:1-10:1,小口(kou)徑爲6:1或5:1。 6)結(jie)構緊湊輕(qing)巧,安裝維(wei)護方便,流(liu)通能力大(da)。 7)适用高壓(ya)測量,儀表(biao)表體上不(bu)必開孔,易(yi)制成高壓(ya)型儀表🥵。 8)專(zhuan)用型傳感(gan)器類型多(duo),可根據用(yong)戶特殊需(xu)要設計爲(wei)各類☎️專用(yong)型傳感器(qi),例如低溫(wen)型、雙向型(xing)、井下型、混(hun)砂專用型(xing)等。 9)可制成(cheng)插入型,适(shi)用于大口(kou)徑測量,壓(ya)力損失小(xiao),價㊙️格低,可(ke)不斷流取(qu)出,安裝維(wei)護方便。 10)難(nan)以長期保(bao)持校準特(te)性,需要定(ding)期校驗。對(dui)于無潤📐滑(hua)性🍉的⛹🏻♀️液體(ti),液體中含(han)有懸浮物(wu)或磨蝕性(xing),造成軸承(cheng)磨損及卡(ka)住等問題(ti),限制了其(qi)适用範圍(wei),采用耐磨(mo)硬質合金(jin)軸和軸承(cheng)後情況有(you)所改進。對(dui)于貿易儲(chu)運和高精(jing)度測量要(yao)求的,最🙇🏻好(hao)配備現場(chang)校驗設備(bei),可定期校(xiao)🏃♀️準以保持(chi)其特性。 11)一(yi)般液體渦(wo)輪流量計(ji)不适用于(yu)較高粘度(du)介質(高粘(zhan)度型除外(wai)),随着粘度(du)的增大,流(liu)量計測量(liang)下線值提(ti)高,範圍度(du)縮♌小,線性(xing)度變差。 12)流(liu)體物性(密(mi)度、粘度)對(dui)儀表特性(xing)有較大影(ying)響。氣體🏃♀️流(liu)🧑🏽🤝🧑🏻量計易受(shou)密度影響(xiang),而液體流(liu)量計對粘(zhan)度變化反(fan)應敏感。由(you)于密度和(he)粘度與溫(wen)度、壓力關(guan)系密切,在(zai)現場溫度(du)、壓力波動(dong)是難免的(de),要根據它(ta)們對精度(du)影響的程(cheng)度采取補(bu)償措施😘,才(cai)能保持高(gao)的計量精(jing)度。 13)流量計(ji)受來流流(liu)速分布畸(ji)變和旋轉(zhuan)流的影響(xiang)較⭐大,傳感(gan)器上下遊(you)側需設置(zhi)較長的直(zhi)管段,如安(an)裝空間有(you)限制,可⛱️加(jia)裝流動調(diao)整器(整流(liu)器)以縮短(duan)直管段長(zhang)度。 14)不适于(yu)脈動流和(he)混相流的(de)測量。 15)對被(bei)測介質的(de)清潔度要(yao)求較高,限(xian)制了其适(shi)用領域,雖(sui)可安💯裝過(guo)濾器以适(shi)應髒污介(jie)質,但亦帶(dai)來壓損增(zeng)🔅大、維護量(liang)增加等副(fu)作用。 16)小口(kou)徑(DN50以下)儀(yi)表的流量(liang)特性受物(wu)性影響嚴(yan)重,故小😍口(kou)徑渦輪流(liu)量計的儀(yi)表性能難(nan)以提高。 第(di)四節 分類(lei)與傳感器(qi)結構 4.1 分類(lei) (1)按傳感器(qi)結構分類(lei) 1)軸向型(普(pu)通型)葉輪(lun)軸中心與(yu)管道軸線(xian)重合,是渦(wo)輪流量計(ji)的主導産(chan)品,有全系(xi)列産品(DN10-DN600)。 2)切(qie)向型 葉輪(lun)軸與管道(dao)軸線垂直(zhi),流體流向(xiang)葉片平面(mian)的沖⁉️角🈚約(yue)90度,适用于(yu)小口徑微(wei)流量産品(pin)。 3)機械型 葉(ye)輪的轉動(dong)直接或經(jing)磁耦合帶(dai)動機械計(ji)數機構💃🏻,隻(zhi)🈲是積算總(zong)量,測量精(jing)度比電信(xin)号檢測的(de)傳感器稍(shao)🥰低,其🚩傳感(gan)器與顯示(shi)裝置組成(cheng)一體式,受(shou)🈲到用戶歡(huan)迎。 4)井下專(zhuan)用型 适用(yong)于石油開(kai)采井下作(zuo)業及采輸(shu)用,測🌐量介(jie)🚶質有泥漿(jiang)及油氣流(liu)等,傳感器(qi)體積受限(xian)制☎️,需耐高(gao)壓、高溫及(ji)流體沖擊(ji)等。 5)自校正(zheng)雙渦輪型(xing) 可用于天(tian)然氣等氣(qi)體流量測(ce)量☀️,傳感器(qi)由主、輔雙(shuang)葉輪組成(cheng),可由二葉(ye)輪的轉速(su)差自動💛校(xiao)正流量特(te)性🏒的變化(hua)。 6)廣粘度型(xing) 在波特型(xing)浮動轉子(zi)壓力平衡(heng)結構基礎(chu)上擴大上(shang)錐體與下(xia)錐體的直(zhi)徑,增加粘(zhan)度補償翼(yi)及承壓葉(ye)片等結構(gou)措施,使傳(chuan)感器适用(yong)于高粘度(du)液體,如重(zhong)油,粘度可(ke)達30mm2/s。 4.2 傳感器(qi)結構 渦輪(lun)流量計傳(chuan)感器由表(biao)體、導向體(ti)(導流器)、葉(ye)輪、軸、軸承(cheng)及信号檢(jian)測器組成(cheng)(見圖1)。 1)表體(ti)。表體是傳(chuan)感器的主(zhu)體部件,它(ta)起到承受(shou)被測流🧑🏽🤝🧑🏻體(ti)的💚壓力,固(gu)定安裝檢(jian)測部件,連(lian)接管道的(de)作用☀️。表體(ti)采用不導(dao)🐕磁不鏽鋼(gang)或硬鋁合(he)金制造。對(dui)于大口徑(jing)傳感器已(yi)可用碳鋼(gang)與不鏽鋼(gang)組合的鑲(xiang)嵌結構,表(biao)體外壁裝(zhuang)信号🧡檢測(ce)器。 2)導向體(ti)。在傳感器(qi)進出口裝(zhuang)有導向體(ti),他對流體(ti)起導向整(zheng)💞流以及支(zhi)撐葉輪的(de)作用,通常(chang)選用不導(dao)磁不鏽鋼(gang)或硬鋁材(cai)料制作。反(fan)推式渦輪(lun)流量傳感(gan)器的後導(dao)🤩流件還要(yao)求能産生(sheng)足夠的反(fan)📞推力,其結(jie)構形式很(hen)多。前導流(liu)器有專利(li)産品可以(yi)抗流體流(liu)動的嚴重(zhong)幹擾。 3)渦輪(lun)。亦稱葉輪(lun),是傳感器(qi)的檢測元(yuan)件,它由高(gao)導磁性⛹🏻♀️材(cai)👣料制成。葉(ye)輪有直闆(pan)葉片、螺旋(xuan)葉片和丁(ding)字形📐葉片(pian)等幾種,也(ye)😄可用嵌有(you)許多導磁(ci)體的多孔(kong)護罩環來(lai)增加一定(ding)數量葉💰片(pian)渦輪旋轉(zhuan)的頻率,葉(ye)輪由⭐支架(jia)中軸承支(zhi)撐,與表體(ti)同軸,其葉(ye)片數視口(kou)徑大小而(er)定。葉輪幾(ji)何形狀及(ji)⚽尺寸對傳(chuan)感器性能(neng)有較大影(ying)響,要根據(ju)流體性質(zhi)、流量範圍(wei)、使用要求(qiu)等設計,葉(ye)輪的動平(ping)衡很重要(yao),直接影響(xiang)儀表性能(neng)和使用壽(shou)命。 4)軸與軸(zhou)承。它支撐(cheng)葉輪旋轉(zhuan),需有足夠(gou)的剛度、強(qiang)度和硬度(du)、耐磨性、耐(nai)腐蝕性等(deng)。它決定着(zhe)傳感器的(de)可靠性和(he)使用期限(xian)。傳感器失(shi)效通常是(shi)由軸與軸(zhou)承🌈引起的(de)⛱️,因此它🔞的(de)結構與材(cai)料👈的選用(yong)以及維護(hu)是很重要(yao)的。 5)信号檢(jian)測器。國内(nei)常用變磁(ci)阻式,如圖(tu)1上半部分(fen)所📱示。由永(yong)久磁⚽鋼、導(dao)磁棒(鐵芯(xin))、線圈等組(zu)成。永久磁(ci)鋼對葉👈片(pian)有吸引力(li),産☁️生磁阻(zu)力矩,小口(kou)徑傳感器(qi)在小流量(liang)時,磁阻力(li)矩在諸阻(zu)力矩中成(cheng)爲主要項(xiang),爲此将永(yong)久磁鋼分(fen)爲大小兩(liang)種❄️規格,小(xiao)口徑配小(xiao)規格以降(jiang)低磁🛀阻力(li)矩。輸出🈲信(xin)号有效值(zhi)在10mV以上的(de)可直接配(pei)用流量計(ji)算機,配上(shang)放大器則(ze)輸出伏級(ji)頻率信号(hao)。 傳感器結(jie)構類型很(hen)多,這裏介(jie)紹幾種廣(guang)泛應用的(de)産品。 1)止推(tui)式渦輪流(liu)量傳感器(qi) 這類産品(pin)的結構簡(jian)圖于圖📐3。其(qi)中圖(a)與🈲圖(tu)(b)爲軸尖止(zhi)推類,采用(yong)平面或球(qiu)面點接觸(chu),接觸點與(yu)傳感🌈器軸(zhou)線重合,點(dian)接觸的優(you)點是摩擦(ca)力💘矩很小(xiao),可用于較(jiao)低的下限(xian)流量,但是(shi)大流量時(shi)磨損嚴重(zhong)。圖(c)爲端面(mian)面接🐅觸止(zhi)推型,端頭(tou)呈球☁️形,軸(zhou)承爲平💞面(mian)型。此類結(jie)構僅用于(yu)小口徑(DN≤15mm)傳(chuan)感器⭐,發揮(hui)其靈敏🈲度(du)高的特點(dian)。 2)反(fan)推式渦輪(lun)流量傳感(gan)器這類産(chan)品的結構(gou)簡圖如圖(tu)4所🌂示。圖4(a)中(zhong)在輸入端(duan)面處的壓(ya)力pH降低,産(chan)生反推力(li);圖4(b)是流體(ti)經前面🌏孔(kong)引入産生(sheng)反推力;圖(tu)4(c)表示流體(ti)由後🚶♀️反向(xiang)推。反推式(shi)結構在一(yi)定流量範(fan)圍内可使(shi)葉輪處于(yu)浮遊狀态(tai),軸向不存(cun)在接觸點(dian),無端面🤩摩(mo)擦和磨損(sun),可延長使(shi)用🏃🏻期限。 3)切向(xiang)式渦輪流(liu)量傳感器(qi) 圖5所示爲(wei)用于微流(liu)量測量的(de)渦輪流🏃♂️量(liang)傳感器。流(liu)體由葉輪(lun)的切向流(liu)過,沖擊其(qi)葉片旋轉(zhuan)。由于被測(ce)流量小,爲(wei)加大流體(ti)對葉輪的(de)沖力,入口(kou)處裝有✊噴(pen)嘴,可以更(geng)換噴嘴孔(kong)徑以調節(jie)流量範圍(wei)。葉輪的轉(zhuan)速采用光(guang)電法檢測(ce),以避免如(ru)磁阻法産(chan)生磁阻力(li)✌️矩。 4) 氣體渦輪(lun)流量計 氣(qi)體的密度(du)遠小于液(ye)體密度,流(liu)體推動力(li)矩小,氣體(ti)流量🐅傳感(gan)器與液體(ti)流量傳感(gan)器在結構(gou)參數上有(you)顯著差别(bie)。要加大輪(lun)毂半徑,縮(suo)小流道截(jie)面積,使🍓氣(qi)流流速加(jia)大💜且集中(zhong)經過葉片(pian)邊緣。因氣(qi)流流速🚶♀️很(hen)高,要用較(jiao)小沖角的(de)葉片。一🏃🏻般(ban)爲降低摩(mo)擦阻力矩(ju),采用滾動(dong)💘軸承,并對(dui)軸承系統(tong)注入潤滑(hua)劑。它能沖(chong)洗掉軸承(cheng)表面的微(wei)粒,延長🎯軸(zhou)承壽命。多(duo)孔狀的儲(chu)油室能在(zai)換加♊潤滑(hua)劑💚期間向(xiang)軸承持續(xu)供油。典型(xing)的燃氣渦(wo)輪流量計(ji)如圖6所示(shi)。圖6(a)所示爲(wei)氣體渦輪(lun)流量計⛷️的(de)剖面圖。圖(tu)6(b)所示爲傳(chuan)感器顯示(shi)裝⛷️置上🌈附(fu)加氣體體(ti)積補償器(qi),補償器把(ba)傳感器測(ce)量的實♋際(ji)體積流量(liang)😄經壓力、溫(wen)度換算爲(wei)标準狀态(tai)下的體積(ji)流🌈量。另外(wai)還有報警(jing)、自診斷、遠(yuan)傳信号等(deng)多種功能(neng),他是一✊台(tai)功能齊全(quan)的流量計(ji)算機。 第(di)五節 選用(yong)考慮要點(dian) (1)精度 一般(ban)說來,選用(yong)渦輪流量(liang)計主要是(shi)看中其精(jing)度佳。目前(qian)渦輪流💛量(liang)計的精度(du)大緻爲液(ye)體:國際市(shi)場爲±0.15%R,±0.2%R,±0.5%R和±1%R,國(guo)内定㊙️型産(chan)品爲±0.5%R和±1%R;氣(qi)體:國際市(shi)場爲±0.5%R和±1%R,國(guo)内爲±1%R和±1.5%R,以(yi)上精度指(zhi)範圍度爲(wei)6:1或10:1。若幹渦(wo)輪流量傳(chuan)感器典型(xing)參數如表(biao)1所示。精度(du)除與🐆本身(shen)産品質量(liang)有關外,還(hai)與使用🛀條(tiao)件密切相(xiang)🔴關。 若縮小(xiao)範圍度可(ke)提高精度(du);特别是作(zuo)爲标準表(biao)法流量♍标(biao)準裝置的(de)标準流量(liang)計,若定點(dian)使用,精度(du)可🙇♀️大爲提(ti)高。 流量計(ji) 精度愈高(gao),對現場使(shi)用條件的(de)變化就越(yue)敏感,要想(xiang)保持其高(gao)🌈精度,需要(yao)對儀表系(xi)數特别的(de)處理。一種(zhong)處理方法(fa)就是所謂(wei)儀表系數(shu)浮動處理(li)法。即由現(xian)場以下條(tiao)件實時進(jin)行處理:a)粘(zhan)度受溫度(du)的影響;b)密(mi)🔅度受壓力(li)、溫度的影(ying)🔱響;c)傳感器(qi)信号冗餘(yu)(一台傳感(gan)器輸出二(er)個信号,監(jian)視其比值(zhi);d)系數的👉長(zhang)期穩定性(xing)🙇🏻(采取控制(zhi)圖确定)等(deng)。 對于貿易(yi)儲運交接(jie)計量,常配(pei)備在線校(xiao)驗裝置,以(yi)便定期進(jin)行校驗。 生(sheng)産廠使用(yong)說明書列(lie)舉的儀表(biao)精度爲基(ji)本誤差,現(xian)場應估算(suan)附加誤差(cha),現場誤差(cha)應爲兩者(zhe)的合成。 (2)流(liu)量範圍的(de)選擇 渦輪(lun)流量計的(de)流量範圍(wei)的選擇對(dui)其精度及(ji)使用期限(xian)有較大的(de)影響。一般(ban)在工作時(shi)最大流量(liang)相應🙇♀️的轉(zhuan)速不宜過(guo)高。使用狀(zhuang)況分連續(xu)工作和間(jian)歇工作兩(liang)種,連續工(gong)作是指每(mei)天工⭐作時(shi)間超過8小(xiao)時,間歇工(gong)作是每天(tian)工作時間(jian)少于8小時(shi)。對于連續(xu)工作最大(da)流量應選(xuan)在儀表上(shang)限流量的(de)較低處,而(er)間歇工作(zuo)可選在較(jiao)高處。一般(ban)連續工作(zuo)是将實際(ji)最大流量(liang)乘以1.4作爲(wei)流量範圍(wei)的上限流(liu)量,而間歇(xie)工作則乘(cheng)以1.3。 如果儀(yi)表口徑與(yu)工藝管道(dao)通徑不一(yi)緻時,則應(ying)以♉異徑管(guan)和㊙️等徑直(zhi)管改裝管(guan)道。 對于流(liu)速偏低的(de)工藝管道(dao),最小流量(liang)成爲選擇(ze)儀表口徑(jing)🍉首💯先要考(kao)慮的問題(ti),通常以實(shi)際最小流(liu)量乘以♌0.8作(zuo)爲流量範(fan)圍的下限(xian)流量,使其(qi)留有一定(ding)的裕量。若(ruo)配有分段(duan)線性📧化功(gong)能的顯示(shi)儀,在傳感(gan)器流量下(xia)限值不能(neng)滿足實際(ji)最小流量(liang)時😘,應要求(qiu)生産廠在(zai)實際👌最小(xiao)流量及🌈其(qi)附近進行(hang)流量校驗(yan),将測得的(de)儀表系數(shu)輸入顯示(shi)儀,這樣就(jiu)能既降低(di)儀💚表的流(liu)量下限值(zhi),還能保🚩持(chi)測量的精(jing)度。 (3)精度等(deng)級 對于儀(yi)表精度等(deng)級的要求(qiu)要慎重,應(ying)該從經濟(ji)角💛度來考(kao)慮,例如大(da)口徑輸油(you)(輸氣)管線(xian)的貿易結(jie)算🏃儀表,經(jing)濟上關系(xi)重大,在儀(yi)表上多投(tou)入是合算(suan)的。至于輸(shu)送量不大(da)或作爲過(guo)程控制用(yong)隻需中等(deng)精❓度水平(ping)即可,切忌(ji)盲目追求(qiu)精度。本安(an)型防爆傳(chuan)感器适配(pei)安全栅型(xing)号及制造(zao)廠,核查防(fang)🚩爆等級及(ji)批準文号(hao)等。若要顯(xian)示質量流(liu)量(或标準(zhun)狀态下體(ti)積🙇🏻流量)要(yao)選配壓力(li)、溫度傳感(gan)器或密度(du)儀表。渦輪(lun)流量計顯(xian)示儀現已(yi)由🚶♀️以微處(chu)理器爲基(ji)礎📐可與上(shang)位計算機(ji)進行通信(xin)的流量計(ji)計算機所(suo)包括,該儀(yi)表在儀表(biao)功能及使(shi)用範圍等(deng)都遠超過(guo)老式渦輪(lun)流量顯示(shi)儀。目前作(zuo)爲貿易計(ji)量的各類(lei)型流量計(ji)都趨向😍于(yu)配有直讀(du)式顯示裝(zhuang)置(如圖6所(suo)示)。不但有(you)總量計量(liang)的📐顯示,還(hai)可附加補(bu)償器☔(一台(tai)‼️功能齊全(quan)的流量計(ji)算機)輸出(chu)遠傳信号(hao)。 (4)對流體的(de)要求 渦輪(lun)流量計對(dui)流體的要(yao)求爲潔淨(jing)(或基本潔(jie)淨)、單相🐪或(huo)低粘度📧的(de),常用流體(ti)舉例如下(xia):一般流體(ti),包括🐪水、空(kong)氣、氧氣、高(gao)壓氫氣、牛(niu)奶、咖啡等(deng);石油化工(gong)類:汽油、輕(qing)油、噴氣燃(ran)料、輕柴油(you)、石腦油、乙(yi)烯、聚乙烯(xi)、苯乙烯、液(ye)化氣、二氧(yang)化碳及天(tian)然氣;化學(xue)溶液🌈類:氨(an)水、甲🌂醇、鹽(yan)水等;有👄機(ji)液體:酒精(jing)、乙醚、苯、甲(jia)苯、二甲苯(ben)、丁二烯、四(si)氯化碳📧、甲(jia)基胺、丙烯(xi)腈等;無機(ji)液:甲醛、酢(zuo)酸、苛🛀🏻性鈉(na)、二硫✌️化碳(tan)等。對于腐(fu)蝕性介質(zhi),使用材質(zhi)選擇要注(zhu)意,含雜質(zhi)多及磨蝕(shi)性介質不(bu)推薦使用(yong)。 (5)對液體粘(zhan)度的要求(qiu) 液體渦輪(lun)流量計爲(wei)粘度敏感(gan)的流量計(ji),當液體粘(zhan)度✌️增大🈲時(shi),儀♊表系數(shu)的線性區(qu)變窄,下限(xian)流量增大(da)🌂,當粘度增(zeng)加到一定(ding)數值❓時,甚(shen)至無線性(xing)區域。螺旋(xuan)✌️葉片的🔱情(qing)況比直葉(ye)片要好的(de)多。 對于液(ye)體,通常用(yong)水校驗傳(chuan)感器,當精(jing)度爲0.5級時(shi),可在5×10-6mm2/s以🌈下(xia)的液體而(er)不必考慮(lü)粘度的影(ying)響。當流體(ti)粘♌度高于(yu)5×10-6mm2/s時,可用相(xiang)當粘度的(de)液體校驗(yan)而不必作(zuo)粘度修正(zheng)。此外也可(ke)采取一些(xie)措施來補(bu)償粘度的(de)影響。如縮(suo)小使用範(fan)圍度,提高(gao)流☂️量下線(xian)值或儀表(biao)系數乘以(yi)雷諾❓數修(xiu)正系數等(deng)。 粘度對儀(yi)表系數的(de)影響與傳(chuan)感器結構(gou)類型及參(can)🧑🏾🤝🧑🏼數口徑大(da)小等有關(guan)。有幾種粘(zhan)度對儀表(biao)系數影響(xiang)的表示方(fang)法:儀表系(xi)數與雷諾(nuo)數的關系(xi),在幾種粘(zhan)度下,儀表(biao)系數與輸(shu)出頻率的(de)關系和儀(yi)表系數與(yu)輸出頻率(lü)除以運動(dong)🐪年度的比(bi)值的關系(xi)等等。這些(xie)🐆資料有的(de)生産廠準(zhun)備有㊙️,但并(bing)非所有的(de)生産廠都(dou)😍有這些資(zi)料。 (6)對氣體(ti)密度的要(yao)求 氣體渦(wo)輪流量計(ji)主要考慮(lü)流體密度(du)對儀表系(xi)數的影❤️響(xiang)🏃🏻♂️,密度的影(ying)響主要在(zai)低流量區(qu)域,如圖14所(suo)示。密度🧡的(de)增大(即壓(ya)力增大)使(shi)特性曲線(xian)直線部分(fen)向下限流(liu)量區域拓(tuo)展,傳♋感器(qi)的範圍度(du)擴大,線性(xing)度改善。若(ruo)氣體渦輪(lun)流量計在(zai)常壓的空(kong)氣中校驗(yan)使用時被(bei)測介質工(gong)作壓力不(bu)一樣,其下(xia)⛱️限流量由(you)下💋式計算(suan)qvmin,qvamin-分别爲㊙️壓(ya)力p和壓力(li),pa(101.325kPa)下被測介(jie)質和空氣(qi)的體積流(liu)量下限值(zhi),m3/h;p,pa-分别爲工(gong)作壓力🌈(絕(jue)壓)和大氣(qi)壓(101.325kPa),kPa;d-被測介(jie)質的相對(dui)密度,無量(liang)綱。 (7)體積流(liu)量換算到(dao)質量流量(liang) 渦輪流量(liang)計測量的(de)是實際體(ti)積流量,無(wu)論物料平(ping)衡🔞或能源(yuan)計量,介須(xu)測量介質(zhi)流量(即标(biao)準狀态下(xia)的體積流(liu)量),這是應(ying)由下式進(jin)行換算 式(shi)中 qv,qvn-分别爲(wei)工作狀态(tai)和标準狀(zhuang)态下的體(ti)積流量,m3/h; p,T,Z-分(fen)别爲工作(zuo)狀态下絕(jue)對壓力(Pa),熱(re)力學溫度(du)(K)和氣體壓(ya)縮系數; pn,Tn,Zn-分(fen)别爲标準(zhun)狀态下絕(jue)對壓力(Pa),熱(re)力學溫度(du)(K)和氣體壓(ya)💘縮🌈系數; (8)不(bu)宜選用渦(wo)輪流量計(ji)的場所 含(han)雜質多的(de)流體,如循(xun)環冷卻水(shui)、河水、排污(wu)水、燃油等(deng);流量急劇(ju)變化的場(chang)所,如鍋爐(lu)供水系統(tong)、有空氣錘(chui)的供氣系(xi)統等;測量(liang)液體時,管(guan)道壓力不(bu)高而流量(liang)又較大,儀(yi)表下遊側(ce)壓力可能(neng)接近飽和(he)蒸汽壓,有(you)産生氣穴(xue)的危險,如(ru)液氨從高(gao)位槽靠位(wei)能自由流(liu)出,在排放(fang)口處就不(bu)宜安裝;電(dian)焊機、電動(dong)機、有觸點(dian)的繼電器(qi)等的附近(jin),存在嚴重(zhong)電磁幹擾(rao)的場所;上(shang)下遊直管(guan)段長度嚴(yan)重不足,如(ru)輪船的機(ji)艙内;鍋爐(lu)自動供水(shui)系統如頻(pin)繁地起泵(beng)和停泵,對(dui)葉輪造成(cheng)沖擊,使傳(chuan)感器很快(kuai)損壞;有腐(fu)蝕性或磨(mo)蝕性介質(zhi)選型時應(ying)慎重,宜與(yu)制造廠聯(lian)系咨詢。 (9)經(jing)濟性 選用(yong)渦輪流量(liang)計用于精(jing)度佳場合(he),其經濟因(yin)素應多方(fang)面考慮❤️。儀(yi)表的購置(zhi)費隻是費(fei)用的一部(bu)分,還應考(kao)慮以下幾(ji)方面🔴的開(kai)支:安裝用(yong)輔助設備(bei)費(如消氣(qi)器、過濾器(qi)等)或旁路(lu)支管包括(kuo)閥👉門等;校(xiao)驗費,爲了(le)保持精度(du)必須經常(chang)校驗,甚至(zhi)在現場安(an)裝一套在(zai)線校驗裝(zhuang)置,其費用(yong)相當可觀(guan);維護費,渦(wo)輪流🚶♀️量計(ji)的易損件(jian)更換用,他(ta)是保持高(gao)性能必需(xu)的。 (10)選用步(bu)驟 1)确認可(ke)用的測量(liang)對象,如前(qian)所述。 2)選擇(ze)型式。按流(liu)體物性選(xuan)擇,氣體和(he)液體分别(bie)用氣體型(xing)♉和液體型(xing),不能通用(yong)。在工作狀(zhuang)态下液體(ti)粘度超過(guo)5mPa.s應選用粘(zhan)度型(國内(nei)尚無定型(xing)産品)。酸性(xing)腐蝕性液(ye)體選用耐(nai)酸型(國内(nei)尚無定型(xing)産♈品)。 按環(huan)境條件選(xuan)擇,按環境(jing)溫度和濕(shi)度等選擇(ze)合适儀表(biao),如周圍有(you)爆炸易燃(ran)性氣氛應(ying)選防爆型(xing)傳感器。 按(an)管道連接(jie)方式選擇(ze),傳感器有(you)水平和垂(chui)直兩種🌈安(an)裝方式。水(shui)平安裝時(shi)與管道連(lian)接方式有(you)法蘭連接(jie)、螺紋連接(jie)和夾裝☀️連(lian)接。中等口(kou)徑選用法(fa)蘭連接,小(xiao)口徑和高(gao)壓管道選(xuan)用螺紋連(lian)接,夾裝連(lian)接隻适用(yong)于低壓🈲中(zhong)小管徑。垂(chui)直安裝隻(zhi)有螺紋連(lian)接。 3)選擇規(gui)格。按現場(chang)使用條件(jian),如流量範(fan)圍、管徑、流(liu)體壓力和(he)⛱️溫度、安裝(zhuang)位置等和(he)性能要求(qiu),如精度、重(zhong)複性、顯示(shi)方式等參(can)照制造☁️廠(chang)選型樣本(ben)或使用說(shuo)明書選定(ding)👉具體規格(ge)型号,也有(you)可能找不(bu)到合适的(de),隻好另選(xuan)其它流量(liang)計。 由于渦(wo)輪流量計(ji)類型規格(ge)繁多,特别(bie)是不同制(zhi)造廠産品(pin)質量㊙️有差(cha)别,必須盡(jin)量搜集有(you)關标準等(deng)資料進行(hang)反複調查(cha)比較後再(zai)決定取舍(she)。 第六節 安(an)裝注意事(shi)項 傳感器(qi)應安裝在(zai)便于維修(xiu),管道無振(zhen)動、無強電(dian)磁幹擾與(yu)熱💘輻✌️射影(ying)響的場所(suo)。液體渦輪(lun)流量計的(de)典型安裝(zhuang)管路系統(tong)如圖7所示(shi)。圖中各部(bu)分的配置(zhi)可❄️視被測(ce)對象情況(kuang)而定,并不(bu)一定全部(bu)都需要。渦(wo)輪流量計(ji)對🐕管道内(nei)流速分布(bu)畸變及旋(xuan)轉流是敏(min)感✍️的,進入(ru)傳感器應(ying)爲充分發(fa)展管流,因(yin)此要根據(ju)傳㊙️感器上(shang)遊側♻️阻流(liu)件類型配(pei)備必要的(de)直管段或(huo)流動調整(zheng)器,如表2所(suo)示。若上遊(you)側阻流件(jian)情況不明(ming)确,一般推(tui)薦上遊直(zhi)管段長度(du)不小于20D,下(xia)遊直管段(duan)長度不小(xiao)于5D,如安裝(zhuang)空間不能(neng)滿📱足上述(shu)要求,可在(zai)阻流件與(yu)傳感器之(zhi)間安裝流(liu)動調整器(qi)。傳感器安(an)裝在室外(wai)時,應有避(bi)直射陽光(guang)和防雨淋(lin)的措施。 表2 渦輪流(liu)量計所要(yao)求的最短(duan)直管段長(zhang)度
以上内(nei)容來源于(yu)網絡,如有(you)侵權請聯(lian)系即删除(chu)!
›
•