電磁(ci)流量計
除(chu)了用來測(ce)量單相導(dao)電液體的(de)流量外,還(hai)經常用來(lai)測量礦漿(jiang)、泥漿、紙漿(jiang)、纖維漿等(deng)液固兩相(xiang)流體介質(zhi)的流量,叫(jiao)礦漿電磁(ci)流量計
。當(dang)液固兩相(xiang)流體介質(zhi)中含有鐵(tie)、枯、鎳等磁(ci)性物質時(shi),稱之爲鐵(tie)磁性礦漿(jiang);反之,不含(han)有鐵、鑽、鎳(nie)等磁性物(wu)質的液固(gu)兩相流體(ti)介質稱爲(wei)非磁性礦(kuang)漿。用礦漿(jiang)電磁流量(liang)計測量流(liu)量時通常(chang)會遇到以(yi)下一些間(jian)題:
1.液體和(he)固體之間(jian)速度差的(de)影響
礦漿(jiang)電磁流量(liang)計在制造(zao)和使用時(shi),一般應滿(man)足以下條(tiao)件:
①磁場在(zai)測量段上(shang)必須均勻(yun)分布;
②被測(ce)流體介質(zhi)應是非磁(ci)性的電解(jie)質,其電氣(qi)性質必須(xu)均勻,并是(shi)不可壓縮(suo)的流體;
③測(ce)量管爲圓(yuan)管,其内徑(jing)必須一緻(zhi);
④流速分布(bu)爲軸對稱(cheng)分布,且管(guan)壁處流速(su)爲零;
⑤測量(liang)管内壁上(shang)要有電絕(jue)緣襯裏;
⑥若(ruo)是液固兩(liang)相流體,則(ze)要求液體(ti)和固體之(zhi)間沒有速(su)度差存在(zai)。
上述條件(jian)中①、③、⑤三條是(shi)由制造廠(chang)保證的,其(qi)餘三條與(yu)測量對象(xiang)有關。一般(ban)說來,工業(ye)上使用電(dian)磁流量計(ji)時,上述條(tiao)件是容易(yi)得到滿足(zu)的,但在特(te)殊情況下(xia),也有不能(neng)滿足的。在(zai)側量礦漿(jiang)時,條件②和(he)⑥一般不能(neng)滿足。但當(dang)礦漿中所(suo)含固體顆(ke)粒的大小(xiao)和管徑相(xiang)比小得多(duo)時,使固體(ti)順粒均勻(yun)地分散在(zai)流體中,則(ze)可把礦槳(jiang)看作是電(dian)氣性質均(jun)勻一緻的(de)流體,至于(yu)條件⑥可作(zuo)如下分析(xi)。
礦漿電磁(ci)流量計出(chu)廠标定時(shi)所用的流(liu)體介質通(tong)常是自來(lai)水(制造廠(chang)受到标定(ding)設備的限(xian)制,不可能(neng)直接用礦(kuang)漿來标定(ding)電磁流量(liang)計),則标定(ding)液體通過(guo)測量管截(jie)面的全流(liu)量除以測(ce)量管截面(mian)積得到相(xiang)應的平均(jun)流速指示(shi)值;另一方(fang)面, 礦漿電(dian)磁流量計(ji)在實際測(ce)量礦漿流(liu)量時,通過(guo)測量管截(jie)面的全流(liu)量(這時包(bao)括組成礦(kuang)漿的液體(ti)和固體)除(chu)以測量管(guan)截面積也(ye)得到平均(jun)流速指示(shi)值。證明:如(ru)果礦漿中(zhong)的固體顆(ke)粒和液體(ti)之間沒有(you)速度差時(shi),則這兩種(zhong)平均流速(su)指示值就(jiu)相同,這時(shi)不引起測(ce)量上的誤(wu)差;如果固(gu)體和液體(ti)之間存在(zai)着明顯的(de)速度差時(shi),則将引起(qi)測量誤差(cha)。
令液體流(liu)量爲仇,所(suo)占測量管(guan)截面積爲(wei)玩;固體流(liu)量爲Qt,所占(zhan)測量管截(jie)面積爲S。,則(ze)液固兩相(xiang)的礦漿流(liu)量Qm及總面(mian)積Sm爲
Qm=Qh+Qt (1)
Sm=Sh+St (2)
又令(ling)液體和固(gu)體之間速(su)度差爲Vs,則(ze)有
式(5)右邊(bian)第一項表(biao)示相應于(yu)标定液體(ti)的平均流(liu)速Vh。令固體(ti)所占的面(mian)積和總截(jie)面積之比(bi)
從式(8)可知(zhi),測量誤差(cha)與相對速(su)度比b和面(mian)積比γt之乘(cheng)積成正比(bi)。例如,若下(xia)γt=5%γt=10%,則δ爲0.5%。
從上(shang)面分析可(ke)知,在測量(liang)液固兩相(xiang)流體的流(liu)量時,要求(qiu)固體的顆(ke)粒相對于(yu)管徑要充(chong)分的小,這(zhe)樣就可以(yi)降低γt值和(he)b值,從而可(ke)使測量誤(wu)差降低到(dao)可以忽略(lue)不計的程(cheng)度。另外,固(gu)體隻要是(shi)非磁性的(de),固體顆粒(li)小而均勻(yun)分布,且和(he)液體之間(jian)沒有速度(du)差,則不論(lun)固體的電(dian)導率比液(ye)體高還是(shi)低,都不會(hui)引起測量(liang)誤差。
2.鐵磁(ci)性物質的(de)影響
當礦(kuang)漿中的固(gu)體爲磁性(xing)介質時,則(ze)測量管内(nei)的磁通密(mi)度将增加(jia),這在小口(kou)徑時,磁通(tong)密度的增(zeng)加更爲顯(xian)著。在這種(zhong)情況下,要(yao)求固體顆(ke)粒很小,和(he)管徑相比(bi)可忽略不(bu)計,使液體(ti)和固體之(zhi)間的速度(du)差近似爲(wei)零。其次,還(hai)要求垂直(zhi)安裝,使礦(kuang)漿自下向(xiang)上流動,使(shi)礦漿的電(dian)氣性質均(jun)勻一緻。另(ling)外,用戶可(ke)選用矩形(xing)波勵磁的(de)電磁流量(liang)計,也可減(jian)少一定的(de)測量誤差(cha)。因爲在矩(ju)形波勵磁(ci)方式下,勵(li)磁電流小(xiao),工作磁通(tong)密度也小(xiao)。再次,用戶(hu)在選用流(liu)量計通徑(jing)時,可選用(yong)大一些的(de)流量計通(tong)徑,以減小(xiao)鐵磁性物(wu)質所引起(qi)的測量誤(wu)差。
除了以(yi)上一些措(cuo)施外,對于(yu)鐵磁性物(wu)質含量較(jiao)高的礦漿(jiang)來說,應當(dang)選用礦漿(jiang)電磁流量(liang)計來測量(liang)其流量。因(yin)爲在鐵礦(kuang)漿電磁流(liu)量計中具(ju)有對磁通(tong)密度變化(hua)進行補償(chang)的功能.
礦(kuang)漿電磁流(liu)量計的基(ji)本工作原(yuan)理可知,在(zai)電極上的(de)感應電壓(ya)U12爲
U12=BDV (9)
式中
B—測(ce)量管内的(de)磁通密度(du)
D—管徑
Vm—礦漿(jiang)平均流
式(shi)(9)可知,感應(ying)電壓是與(yu)平均流速(su)和磁通密(mi)度之積成(cheng)正比的,其(qi)中,平均流(liu)速随着體(ti)積流量的(de)變化呈比(bi)例地變化(hua)。當礦漿電(dian)磁流量計(ji)用工業交(jiao)流電來勵(li)磁且被測(ce)礦漿又是(shi)鐵磁性礦(kuang)漿時,則磁(ci)通密度是(shi)電源電壓(ya)、電源頻率(lü)、環境溫度(du)和磁性物(wu)質濃度的(de)函數,而這(zhe)些影響量(liang)的變化是(shi)沒有規律(lü)可循的,因(yin)此,必須設(she)法消除這(zhe)些變化所(suo)帶來的影(ying)響,才能保(bao)證正确的(de)流量測量(liang)。爲此,必須(xu)對感應電(dian)壓U12進行U12/B運(yun)算,即對式(shi)(9)的兩邊同(tong)時除以B得(de):
這樣,經過(guo)U12/B運算後所(suo)得的E就與(yu)平均流速(su)成正比了(le)。
對于U12/B運算(suan),關鍵是如(ru)何取得與(yu)磁通密度(du)B成正比的(de)電信号。在(zai)一般的工(gong)業用電磁(ci)流量計中(zhong),是用勵磁(ci)電流來代(dai)替B的。因爲(wei)在電源電(dian)壓、電源頻(pin)率及環境(jing)溫度變化(hua)的範圍内(nei),勵磁電流(liu)近似與磁(ci)通密度B成(cheng)正比。這種(zhong)方法隻能(neng)消除由于(yu)電源電壓(ya)、電源頻率(lü)和環境溫(wen)度的變化(hua)所造成的(de)影響,而不(bu)能消除磁(ci)性物質的(de)影響。因此(ci),用一般工(gong)業用的電(dian)磁流量計(ji)來測量鐵(tie)磁性礦漿(jiang)流量時會(hui)引起不可(ke)允許的測(ce)量誤差。
解(jie)決的方法(fa)是利用安(an)裝在傳感(gan)器測量管(guan)上的一隻(zhi)磁感應密(mi)度檢測線(xian)圈所取得(de)的感應電(dian)壓作爲B信(xin)号,從而進(jin)行U12/B運算,就(jiu)可消除磁(ci)勝場物質(zhi)的影響。具(ju)體做法是(shi)将檢測線(xian)圈上所取(qu)得的感應(ying)電壓u1經積(ji)分電路後(hou),再進入除(chu)法電路的(de)。積分電路(lu)如圖1所示(shi)。
式中u 2爲積(ji)分電路的(de)輸出電壓(ya), u 1爲積分電(dian)路的輸入(ru)電壓,即是(shi)檢測線圈(quan)上所取得(de)的感應電(dian)壓,ω爲磁場(chang)角頻率, ω=2πf,f爲(wei)勵磁頻率(lü),K= R2/(R1+ R2),T爲時間常(chang)數,其表達(da)式爲T= R1 R2C/( R1+ R2),設計(ji)時使ω2T2>>1,則式(shi)(11)可改寫
式(shi)中K1=2.22KNs/πT,K1是個常(chang)數。
由上式(shi)可知, u 2與磁(ci)通密度B成(cheng)正比。用u 2做(zuo)除數,進行(hang)除法運算(suan),就相當于(yu)用B做除數(shu),
進行u 2/B運算(suan),這樣就消(xiao)除了磁性(xing)介質的影(ying)響。
8.結疤
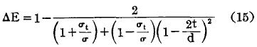
有(you)些礦漿往(wang)往容易在(zai)測量管道(dao)内壁上造(zao)成結疤現(xian)象,如氧化(hua)鋁生産過(guo)程中的漿(jiang)液不僅含(han)有堿性物(wu)質和固體(ti)顆粒,而且(qie)礦漿在90℃以(yi)上的高溫(wen)條件輸送(song),這時就容(rong)易在管壁(bi)上附着料(liao)漿造成嚴(yan)重的結疤(ba)現象。這時(shi),用戶可選(xuan)用有光滑(hua)的聚四氟(fu)乙烯襯裏(li)的電磁流(liu)量計,才能(neng)避免這種(zhong)結疤現象(xiang)。當管内壁(bi)上附着物(wu)如圖2所示(shi)時,将造成(cheng)測量誤差(cha)。
設st和s分别(bie)爲附着物(wu)和被測介(jie)質的電導(dao)率,t爲附着(zhe)層的厚度(du),d爲内徑,這(zhe)時所造成(cheng)的測量誤(wu)差△E可用下(xia)式表示:
當(dang)附着物的(de)電導率和(he)被測流體(ti)的電導率(lü)相等或相(xiang)接近時,則(ze)不會造成(cheng)測量上的(de)誤差。當附(fu)着物的厚(hou)度均勻且(qie)其電導率(lü)高于被測(ce)流體的電(dian)導率時,則(ze)在電極之(zhi)間形成電(dian)阻性短路(lu)而使測得(de)的感應電(dian)壓減小.因(yin)此将造成(cheng)負誤差,即(ji)流量計指(zhi)示的流量(liang)值小于實(shi)際流量值(zhi)。當附着物(wu)的厚度均(jun)勻且其電(dian)導率低于(yu)被測流體(ti)的電導率(lü)時将會造(zao)成正誤差(cha),即流量計(ji)指示的流(liu)量大于實(shi)際流量。
對(dui)于在電極(ji)上造成結(jie)疤時,可以(yi)采用尖頭(tou)形電極,它(ta)具有一定(ding)的自清洗(xi)能力;另外(wai),可以選用(yong)帶有電極(ji)清洗裝置(zhi)的礦漿電(dian)磁流量計(ji),可随時對(dui)電極進行(hang)清洗;如果(guo)結疤不是(shi)很嚴重,用(yong)戶可以定(ding)期清洗電(dian)極;同時,盡(jin)可能将平(ping)均流速提(ti)高到Zms/以上(shang),以減慢附(fu)着層的形(xing)成。
4.磨損和(he)腐蝕
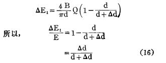
礦漿(jiang)電磁流量(liang)計用于測(ce)量礦漿流(liu)量時,普遍(bian)存在着磨(mo)損和腐蝕(shi)問題,當固(gu)體物對襯(chen)裏磨損後(hou)使内徑d增(zeng)加了△d,則造(zao)成測量誤(wu)差爲
爲了(le)減少磨損(sun)的影響,盡(jin)可能将流(liu)速減小到(dao)3m/s以下。但對(dui)于磨損和(he)腐蝕都很(hen)嚴重的礦(kuang)漿來說,用(yong)戶可選用(yong)
陶瓷電磁(ci)流量計
。
以(yi)上内容來(lai)源于網絡(luo),如有侵權(quan)請聯系即(ji)删除!