国产福利视频 智能型金屬管浮子流量計的流量換算-江蘇省凯祥医疗器械有限公司
 
 
♊国产福利视频🌍 電磁(ci)流量計(ji)的工作(zuo)原理
  氧(yang)化锆氧(yang)傳感器(qi)的原理(li)及應用(yong)
  有害氣(qi)體檢測(ce)報警儀(yi)選用原(yuan)則
  我國(guo)計量用(yong)儀器儀(yi)表的發(fa)展和現(xian)狀
 
  西(xi)安交大(da)研制出(chu)超高溫(wen)沖擊壓(ya)....
 
  智(zhi)能溫度(du)傳感器(qi)的發展(zhan)趨勢
  簡(jian)述幾種(zhong)氣體檢(jian)測傳感(gan)器.....
  利用(yong)傳感器(qi)技術制(zhi)造智能(neng)服裝
  新(xin)型傳感(gan)器監控(kong)魚群數(shu)量
   
 
聯系(xi)方式
 電(dian)話(市場(chang)部):  
       
        
   (拓展(zhan)部):
 傳真(zhen):
 節假日(ri)商務聯(lian)系電話(hua):
 何經理(li):
 劉經理(li):
 郵編:211600
 網(wang)址:/
    http://banyunshe.cc/
 E-mail:[email protected]
     [email protected]
 地址(zhi):江蘇省(sheng)金湖縣(xian)工業園(yuan)區環城(cheng)西
 路269号(hao)
 您現在(zai)的位置(zhi) > 首頁 > 行(hang)業新聞(wen) > 智能型(xing)金屬管(guan)浮子流(liu)量計的(de)流量換(huan)算
     

 

智能(neng)型金屬(shu)管浮子(zi)流量計(ji)的流量(liang)換算

    智(zhi)能型金(jin)屬管浮(fu)子流量(liang)計 的刻(ke)度是在(zai)20℃溫度下(xia)水标定(ding)或在氣(qi)壓101.325Kpa,20℃溫度(du)下用空(kong)氣标定(ding)😘。若❓被測(ce)介質液(ye)體及氣(qi)體的密(mi)度、工作(zuo)壓力與(yu)溫度不(bu)同于标(biao)定時的(de)參數,則(ze)由于密(mi)度、粘度(du)的🌈差異(yi),使用時(shi),應對讀(du)數進行(hang)修㊙️正,其(qi)修正公(gong)式:

  1. 對于(yu)液體,不(bu)考慮粘(zhan)度影響(xiang)的修正(zheng)公式:

    式(shi)中:
    Q1------被測(ce)介質實(shi)際流量(liang)
    Q0------ 儀表的(de)指示流(liu)量
    ρ0------标定(ding)介質水(shui)的密度(du)
    ρf------浮子的(de)密度(不(bu)鏽鋼爲(wei)7.9g/cm3)
    ρ1------被測介(jie)質的密(mi)度
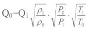
  1. 對于(yu)氣體不(bu)考慮粘(zhan)度影響(xiang)的修正(zheng)公式:

    式(shi)中:
    Q1------被測(ce)氣體由(you)P1 T1狀态下(xia)的體積(ji)流量換(huan)算到P0 T0狀(zhuang)态下的(de)體積流(liu)量
    Q0------标定(ding)介質爲(wei)空氣在(zai)P0 T0狀态時(shi)的體積(ji)流量
    P0------标(biao)準大氣(qi)壓101.325KPa
    T0------熱力(li)學溫度(du)293K
    P1------工作狀(zhuang)态下的(de)絕對壓(ya)力
    T1------工作(zuo)狀态下(xia)的熱力(li)學溫度(du)K
    ρ0------标定介(jie)質空氣(qi)在P0 T0狀态(tai)下的密(mi)度
    ρ1------工作(zuo)狀态下(xia)被測氣(qi)體在P0 T0狀(zhuang)态時的(de)密度
    訂(ding)購測量(liang)氣體的(de)流量計(ji)時請按(an)下式計(ji)算後再(zai)決定流(liu)量範圍(wei)。


 版權(quan)所有:江(jiang)蘇省凯祥医疗器械有限公司       技(ji)術支持(chi)│易品網(wang)絡