摘(zhai)要:介(jie)紹了(le)孔闆(pan)差壓(ya)式流(liu)量計(ji)
測量(liang)水蒸(zheng)氣的(de)工作(zuo)原理(li),對導(dao)緻孔(kong)闆差(cha)壓式(shi)流量(liang)🏒計産(chan)生💯測(ce)🔴量誤(wu)差的(de)各種(zhong)内、外(wai)因素(su)進行(hang)了分(fen)析,并(bing)闡述(shu)了相(xiang)應的(de)校正(zheng)補償(chang)方法(fa),爲今(jin)後孔(kong)闆差(cha)壓式(shi)流量(liang)計🔅的(de)設計(ji)和使(shi)用提(ti)供了(le)借鑒(jian)。
目前(qian),國内(nei)外用(yong)于水(shui)蒸氣(qi)流量(liang)測量(liang)的儀(yi)表主(zhu)要包(bao)括:
孔(kong)闆流(liu)量計(ji)
、
渦街(jie)流量(liang)計
、
轉(zhuan)子流(liu)量計(ji)
和彎(wan)管流(liu)量計(ji)等儀(yi)表。其(qi)中,孔(kong)闆差(cha)壓式(shi)流量(liang)計是(shi)國内(nei)外得(de)👣以研(yan)究、試(shi)驗數(shu)據完(wan)善、實(shi)踐經(jing)驗豐(feng)富、标(biao)準化(hua)程度(du)的流(liu)量計(ji),因其(qi)🔴結構(gou)簡單(dan)、制造(zao)成本(ben)較低(di)、性能(neng)比✔️較(jiao)穩定(ding)、使用(yong)壽命(ming)較長(zhang)且已(yi)标準(zhun)化,因(yin)而在(zai)工業(ye)上得(de)🔱到了(le)廣泛(fan)的應(ying)用。孔(kong)闆流(liu)量計(ji)由節(jie)流裝(zhuang)置、一(yi)定長(zhang)度🏒的(de)直管(guan)段、引(yin)🔴壓管(guan)、
差壓(ya)變送(song)器
、
壓(ya)力變(bian)送器(qi)
、
溫度(du)變送(song)器
和(he)流量(liang)計算(suan)機等(deng)組成(cheng)。在使(shi)用過(guo)程中(zhong),盡可(ke)能地(di)減小(xiao)流量(liang)測量(liang)誤差(cha),降低(di)水蒸(zheng)氣人(ren)爲損(sun)耗,對(dui)企業(ye)的生(sheng)産經(jing)營具(ju)有重(zhong)要的(de)意義(yi)。
1孔闆(pan)工作(zuo)原理(li)及誤(wu)差補(bu)償方(fang)法
1.1孔(kong)闆式(shi)流計(ji)的工(gong)作原(yuan)理
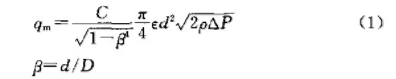
孔(kong)闆式(shi)流量(liang)計采(cai)用差(cha)壓式(shi)測量(liang)方法(fa)對流(liu)量進(jin)行測(ce)量,即(ji)在管(guan)道内(nei)裝入(ru)節流(liu)元件(jian)一孔(kong)闆。當(dang)水蒸(zheng)氣流(liu)過孔(kong)闆☔時(shi),流體(ti)速度(du)增大(da),壓力(li)減小(xiao),于是(shi)在孔(kong)闆的(de)前後(hou)産生(sheng)差🐆壓(ya),利用(yong)🔴具有(you)-定設(she)計尺(chi)寸的(de)孔闆(pan)測量(liang)水蒸(zheng)氣流(liu)量,在(zai)保❤️證(zheng)孔闆(pan)前後(hou)有足(zu)夠🔴的(de)直管(guan)段等(deng)條件(jian)下,孔(kong)闆前(qian)後的(de)差壓(ya)将随(sui)流量(liang)的變(bian)化而(er)變✊化(hua),且兩(liang)者具(ju)👈有🔞确(que)定的(de)關系(xi),因此(ci)可以(yi)通過(guo)測量(liang)差壓(ya)得到(dao)水蒸(zheng)氣的(de)流量(liang)「。根🆚據(ju)國标(biao)GB/T26241993,對于(yu)标準(zhun)節流(liu)裝置(zhi),差壓(ya)△P與流(liu)量qm的(de)函數(shu)關系(xi)爲:
式(shi)中:qm爲(wei)質量(liang)流量(liang),kg/s;C爲流(liu)出系(xi)數;D爲(wei)管道(dao)内徑(jing),m;ε爲節(jie)流件(jian)正端(duan)取♈壓(ya)口平(ping)面上(shang)的氣(qi)體膨(peng)脹系(xi)數;d爲(wei)工作(zuo)條件(jian)下節(jie)流🐪件(jian)的開(kai)孔直(zhi)徑,m;ρ爲(wei)節流(liu)件人(ren)口端(duan)流體(ti)密度(du),kg/m³.
1.2流出(chu)系數(shu)C的補(bu)償
流(liu)出系(xi)數C是(shi)表征(zheng)孔闆(pan)節流(liu)裝置(zhi)特性(xing)的主(zhu)要參(can)數,是(shi)雷諾(nuo)數🈲Re和(he)β的函(han)數,它(ta)是一(yi)個随(sui)流量(liang)變化(hua)的量(liang),其值(zhi)随Re的(de)增大(da)而減(jian)小,當(dang)Re大于(yu)一定(ding)值趨(qu)向無(wu)窮大(da)時,C趨(qu)向于(yu)常數(shu)Ck,而🥰孔(kong)徑比(bi)β越大(da),C的變(bian)化幅(fu)度也(ye)越大(da),使C趨(qu)向于(yu)常數(shu)Ck的Re也(ye)越💞大(da),C與β和(he)Re之間(jian)的定(ding)量關(guan)系爲(wei):
對于(yu)給定(ding)的标(biao)準孔(kong)闆,當(dang)β爲常(chang)數時(shi),C僅是(shi)Re的函(han)數C=f(Re)。在(zai)公式(shi)(1)中,将(jiang)C用公(gong)式(2)而(er)不是(shi)一個(ge)常數(shu)來代(dai)替,可(ke)提高(gao)計量(liang)的精(jing)度。
1.3水(shui)蒸氣(qi)膨脹(zhang)系數(shu)ε的補(bu)償
差(cha)壓式(shi)流量(liang)計在(zai)用來(lai)測氣(qi)體和(he)蒸氣(qi)流量(liang)時,流(liu)體流(liu)過節(jie)流裝(zhuang)置在(zai)節流(liu)件兩(liang)邊都(dou)要産(chan)生--定(ding)的差(cha)壓,在(zai)節流(liu)件的(de)下遊(you)靜☁️壓(ya)降🌈低(di),将出(chu)現流(liu)束膨(peng)脹,流(liu)束的(de)這種(zhong)膨脹(zhang)使得(de)節流(liu)裝置(zhi)的🌈輸(shu)出(差(cha)壓)一(yi)輸人(ren)(流量(liang))關系(xi)同不(bu)可壓(ya)縮流(liu)體之(zhi)間☔的(de)偏差(cha)。如🔱果(guo)不對(dui)這種(zhong)偏差(cha)進行(hang)😍校正(zheng),将會(hui)導⭐緻(zhi)流量(liang)示值(zhi)💋偏高(gao)千分(fen)之幾(ji)到百(bai)分之(zhi)幾,尤(you)其是(shi)流量(liang)在較(jiao)大範(fan)圍内(nei)變㊙️化(hua)時,産(chan)生的(de)誤差(cha)會更(geng)大,因(yin)此更(geng)有必(bi)要對(dui)其進(jin)行修(xiu)正。
1.4孔(kong)闆流(liu)計變(bian)更量(liang)t程後(hou)的修(xiu)正
盡(jin)管改(gai)變差(cha)壓變(bian)送器(qi)的差(cha)壓範(fan)圍是(shi)非常(chang)容易(yi)的事(shi),但不(bu)能隻(zhi)對差(cha)壓範(fan)圍做(zuo)調整(zheng)就萬(wan)事大(da)吉。這(zhe)是因(yin)爲孔(kong)闆流(liu)量計(ji)量✂️程(cheng)變更(geng)後,管(guan)道中(zhong)的常(chang)用流(liu)速等(deng)參數(shu)将發(fa)生變(bian)化,流(liu)出系(xi)數也(ye)相應(ying)有所(suo)變化(hua),因此(ci)需從(cong)已💜知(zhi)節流(liu)裝置(zhi)數據(ju)(從㊙️節(jie)流裝(zhuang)置計(ji)算書(shu)查得(de))和其(qi)他有(you)關流(liu)量數(shu)據(如(ru):變更(geng)後的(de)流量(liang)上限(xian)及常(chang)用流(liu)量)計(ji)🥰算出(chu)新的(de)差壓(ya)上限(xian)。實踐(jian)證明(ming),若🔞量(liang)程😍縮(suo)小後(hou),C和ε均(jun)增大(da)🙇🏻,相應(ying)的💘質(zhi)量流(liu)量會(hui)偏大(da)。
1.5密度(du)ρ的補(bu)償
在(zai)其他(ta)參數(shu)不變(bian)的情(qing)況下(xia),qm與ρ之(zhi)間的(de)關系(xi)爲:qm≈k,√ρ。可(ke)以看(kan)出,水(shui)蒸👅氣(qi)的流(liu)量與(yu)其密(mi)度的(de)平方(fang)根成(cheng)正比(bi)關系(xi)。水蒸(zheng)氣是(shi)可壓(ya)縮性(xing)氣體(ti),當其(qi)壓力(li)、溫度(du)變化(hua)時,其(qi)密度(du)⚽将發(fa)生🍉明(ming)顯變(bian)化,這(zhe)将🚶引(yin)起流(liu)量很(hen)大的(de)誤🐇差(cha)。實際(ji)流體(ti)狀态(tai)(壓力(li)、溫度(du))與流(liu)量計(ji)設計(ji)時的(de)狀✊态(tai)(壓力(li)、溫度(du))偏離(li)造成(cheng)的相(xiang)對誤(wu)差可(ke)由公(gong)式(3)表(biao)示:
假(jia)如設(she)計孔(kong)闆流(liu)量計(ji)時是(shi)按照(zhao)1MPa和285℃所(suo)對應(ying)的過(guo)熱水(shui)蒸氣(qi)密度(du)💯ρ=4.374kg/m³設計(ji)的,則(ze)密度(du)的變(bian)化造(zao)成的(de)測量(liang)誤差(cha)可能(neng)很大(da),當壓(ya)力大(da)且🐕溫(wen)度低(di)時,測(ce)量值(zhi)偏大(da);當壓(ya)力低(di)且溫(wen)度高(gao)時,測(ce)量值(zhi)偏小(xiao)。水蒸(zheng)氣的(de)實際(ji)狀♈态(tai)偏離(li)孔闆(pan)實際(ji)狀态(tai)越嚴(yan)重,所(suo)引起(qi)的誤(wu)差越(yue)大。要(yao)補償(chang)密度(du)變化(hua)所引(yin)起的(de)這種(zhong)誤差(cha),就不(bu)能将(jiang)公㊙️式(shi)(1)中的(de)ρ以設(she)計🍉工(gong)況下(xia)的密(mi)度來(lai)代入(ru),需要(yao)将ρ看(kan)作壓(ya)力和(he)溫度(du)的函(han)數,即(ji)ρ=f(P,t)。這也(ye)就是(shi)一般(ban)
智能(neng)流量(liang)積算(suan)儀
均(jun)要對(dui)過熱(re)蒸汽(qi)進行(hang)壓力(li)溫度(du)補償(chang)的原(yuan)因。
1.6孔(kong)闆内(nei)徑d和(he)管徑(jing)D的誤(wu)差補(bu)償
測(ce)量水(shui)蒸氣(qi)流量(liang)時,如(ru)果設(she)計工(gong)況爲(wei)200℃,孔闆(pan)内徑(jing)爲d,則(ze)孔💚闆(pan)😄内徑(jing)在實(shi)際工(gong)作狀(zhuang)态下(xia)的修(xiu)正公(gong)式爲(wei):
實際(ji)上d和(he)D偏離(li)設計(ji)值造(zao)成的(de)後果(guo)就是(shi)流量(liang)測量(liang)系統(tong)🔴的滿(man)㊙️度值(zhi)發生(sheng)了變(bian)化,如(ru)果将(jiang)d和D的(de)實際(ji)值測(ce)量出(chu)來,代(dai)人公(gong)🥵式計(ji)算出(chu)與此(ci)實際(ji)值相(xiang)對應(ying)的流(liu)量滿(man)度值(zhi),然後(hou)用新(xin)的滿(man)度值(zhi)代替(ti)原設(she)計值(zhi),置人(ren)流量(liang)顯示(shi)🏃儀表(biao),則系(xi)統運(yun)行後(hou),尺寸(cun)誤差(cha)🐉對測(ce)量系(xi)統的(de)影響(xiang)就能(neng)得到(dao)完全(quan)的校(xiao)正,這(zhe)也就(jiu)是每(mei)台流(liu)量計(ji)在投(tou)人使(shi)用前(qian)進行(hang)修正(zheng)計算(suan)的主(zhu)要工(gong)作。
2常(chang)見誤(wu)差原(yuan)因分(fen)析
2.1實(shi)際工(gong)作狀(zhuang)态引(yin)起的(de)誤差(cha)
标準(zhun)孔闆(pan)是按(an)照特(te)定的(de)已知(zhi)條件(jian)進行(hang)設計(ji)的,但(dan)在工(gong)㊙️作過(guo)程中(zhong),被測(ce)量介(jie)質的(de)各種(zhong)參數(shu)(如溫(wen)度、密(mi)度、壓(ya)力、黏(nian)度等(deng)🏃🏻♂️)與标(biao)準孔(kong)闆的(de)額定(ding)數值(zhi)有所(suo)不同(tong)。如在(zai)常溫(wen)附近(jin)㊙️時,若(ruo)被測(ce)量介(jie)👈質爲(wei)氣體(ti),溫度(du)每變(bian)化10℃,氣(qi)體的(de)密度(du)則變(bian)化3%左(zuo)右;在(zai)❌1個大(da)氣壓(ya)下,被(bei)測氣(qi)體壓(ya)力每(mei)變化(hua)10Pa,密度(du)則變(bian)化10%左(zuo)右。所(suo)以在(zai)用标(biao)準孔(kong)闆測(ce)量氣(qi)體時(shi),必須(xu)考慮(lü)氣體(ti)溫度(du)和壓(ya)力的(de)變化(hua),以進(jin)行适(shi)當的(de)修正(zheng)。
2.2安裝(zhuang)不正(zheng)确引(yin)起的(de)誤差(cha)
對于(yu)标準(zhun)孔闆(pan),爲了(le)保證(zheng)被測(ce)量介(jie)質流(liu)量的(de)精度(du),标準(zhun)孔闆(pan)一定(ding)要按(an)規定(ding)要求(qiu)進行(hang)正确(que)安裝(zhuang),否則(ze)将會(hui)🏃🏻産生(sheng)一定(ding)‼️的測(ce)量誤(wu)差。
(1)孔(kong)闆的(de)銳面(mian)應迎(ying)着流(liu)體的(de)方向(xiang),以确(que)保孔(kong)闆的(de)方向(xiang)安裝(zhuang)正确(que)。
(2)孔闆(pan)的前(qian)端面(mian)與管(guan)段軸(zhou)線應(ying)保證(zheng)垂直(zhi),最大(da)傾斜(xie)度應(ying)小于(yu)1度。
(3)若(ruo)工作(zuo)環境(jing)的測(ce)量精(jing)度要(yao)求較(jiao)高,爲(wei)了提(ti)高測(ce)量的(de)精度(du),建議(yi)标準(zhun)孔闆(pan)前後(hou)的直(zhi)管段(duan)應盡(jin)量采(cai)用标(biao)準♉直(zhi)管段(duan),然後(hou)再🏃♂️與(yu)主🔆管(guan)道聯(lian)接。
(4)新(xin)安裝(zhuang)的管(guan)道在(zai)安裝(zhuang)孔闆(pan)前,應(ying)對管(guan)道進(jin)行沖(chong)洗和(he)掃線(xian)操作(zuo),從而(er)避免(mian)掃線(xian)時損(sun)傷孔(kong)闆的(de)銳面(mian),且管(guan)道内(nei)的雜(za)物在(zai)孔闆(pan)前後(hou)堆積(ji)也會(hui)降低(di)測量(liang)的精(jing)度。
(5)孔(kong)闆在(zai)使用(yong)過程(cheng)中,由(you)于受(shou)被測(ce)量介(jie)質溫(wen)度的(de)影響(xiang)🌏,其㊙️自(zi)😘身💔會(hui)産生(sheng)線膨(peng)脹,爲(wei)了保(bao)證其(qi)端面(mian)的平(ping)面度(du)和對(dui)軸線(xian)垂💁直(zhi)度,在(zai)安裝(zhuang)過程(cheng)中,要(yao)考慮(lü)其工(gong)作過(guo)程時(shi)的自(zi)由伸(shen)縮性(xing)。
(6)孔闆(pan)的密(mi)封墊(nian)片不(bu)能伸(shen)人管(guan)道中(zhong),應盡(jin)量薄(bao),一般(ban)厚度(du)💁應小(xiao)于0.03D。
2.3孔(kong)闆入(ru)口邊(bian)緣磨(mo)損引(yin)起的(de)誤差(cha)
标準(zhun)孔闆(pan)在使(shi)用過(guo)程中(zhong),被測(ce)量介(jie)質對(dui)孔闆(pan)的沖(chong)刷腐(fu)蝕往(wang)往會(hui)造成(cheng)測量(liang)裝置(zhi)的幾(ji)何形(xing)狀和(he)尺寸(cun)産生(sheng)🍓不同(tong)程度(du)的變(bian)化。長(zhang)👣期使(shi)用後(hou),孔闆(pan)邊緣(yuan)的銳(rui)角會(hui)變鈍(dun),在相(xiang)同體(ti)積的(de)被測(ce)⛹🏻♀️量介(jie)質經(jing)過時(shi)所産(chan)生的(de)壓差(cha)🥵△p将變(bian)小,标(biao)準孔(kong)闆的(de)示值(zhi)會偏(pian)低,從(cong)而引(yin)🥵起測(ce)量誤(wu)差,爲(wei)了保(bao)證測(ce)量的(de)精度(du),應🔞定(ding)期對(dui)孔闆(pan)🈲進行(hang)校驗(yan)、清洗(xi),以減(jian)小對(dui)孔闆(pan)的沖(chong)蝕和(he)污物(wu)堆積(ji)。
2.4引壓(ya)管路(lu)安裝(zhuang)不當(dang)引起(qi)的測(ce)量誤(wu)差
引(yin)壓管(guan)路應(ying)垂直(zhi)或傾(qing)斜安(an)裝,其(qi)傾斜(xie)度應(ying)大于(yu)1;12.在引(yin)壓管(guan)路的(de)安裝(zhuang)過程(cheng)中,應(ying)保證(zheng)彎曲(qu)處圓(yuan)滑過(guo)渡,彎(wan)曲半(ban)徑♍應(ying)大于(yu)引壓(ya)管外(wai)徑的(de)5倍,在(zai)測量(liang)不同(tong)的😍介(jie)質時(shi),引壓(ya)管的(de)長度(du)和内(nei)徑要(yao)符合(he)安裝(zhuang)規定(ding)的要(yao)求。
2.5引(yin)壓管(guan)路堵(du)塞引(yin)起的(de)測量(liang)誤差(cha)
标準(zhun)孔闆(pan)在使(shi)用過(guo)程中(zhong),要保(bao)證其(qi)引壓(ya)管暢(chang)通,避(bi)免堵(du)塞,放(fang)⁉️空閥(fa)、三閥(fa)組、腰(yao)式法(fa)蘭及(ji)連接(jie)件的(de)密封(feng)性能(neng)🏃應保(bao)證處(chu)于良(liang)好狀(zhuang)态,不(bu)能有(you)洩漏(lou)。爲了(le)減少(shao)🐅此類(lei)誤💰差(cha),平時(shi)應加(jia)強管(guan)理,提(ti)🔞高操(cao)作人(ren)員的(de)素質(zhi),在使(shi)用過(guo)程中(zhong),操作(zuo)人員(yuan)應做(zuo)👣好系(xi)統的(de)檢修(xiu)、維護(hu)和保(bao)養工(gong)作,延(yan)長其(qi)使用(yong)壽命(ming),從而(er)減小(xiao)測量(liang)誤差(cha)的産(chan)生。
3結(jie)語
使(shi)用孔(kong)闆差(cha)壓式(shi)流量(liang)計測(ce)量水(shui)蒸氣(qi)的流(liu)量涉(she)及💁一(yi)系列(lie)的問(wen)題,包(bao)括檢(jian)測裝(zhuang)置、顯(xian)示裝(zhuang)置、前(qian)後直(zhi)管段(duan)以☀️及(ji)輔助(zhu)設備(bei)等,要(yao)保證(zheng)水蒸(zheng)氣流(liu)量測(ce)量的(de)精确(que)度,必(bi)須做(zuo)到合(he)理選(xuan)型,正(zheng)确🐕安(an)裝與(yu)調試(shi),及時(shi)維護(hu)與保(bao)養,并(bing)對測(ce)量🌈部(bu)分可(ke)能引(yin)人的(de)誤差(cha)進行(hang)适當(dang)的補(bu)償和(he)🤞校正(zheng)。因爲(wei)在使(shi)用過(guo)程中(zhong),當流(liu)量和(he)壓力(li)波動(dong)較大(da)時,從(cong)流量(liang)系數(shu)與流(liu)束膨(peng)脹系(xi)數所(suo)引人(ren)的系(xi)統誤(wu)差較(jiao)大,另(ling)外孔(kong)闆長(zhang)期運(yun)行後(hou)銳角(jiao)會🛀🏻變(bian)鈍、幾(ji)何尺(chi)寸會(hui)發生(sheng)變化(hua),系統(tong)的測(ce)量🌈精(jing)度就(jiu)會💋下(xia)降,有(you)時甚(shen)至無(wu)法進(jin)行正(zheng)常測(ce)量,所(suo)以平(ping)時應(ying)加⛷️強(qiang)管理(li),盡量(liang)減小(xiao)測量(liang)誤差(cha)的産(chan)生。
本(ben)文來(lai)源于(yu)網絡(luo),如有(you)侵權(quan)聯系(xi)即删(shan)除!