摘(zhai)要:通(tong)過對(dui)氣體(ti)玻璃(li)管浮(fu)子流(liu)量計(ji)
氣體(ti)流量(liang)刻度(du)示值(zhi)修正(zheng)公式(shi)的推(tui)導,使(shi)氣體(ti)流量(liang)🈚刻度(du)示值(zhi)修正(zheng)公式(shi)的表(biao)達式(shi)達到(dao)統一(yi),并讨(tao)論了(le)修正(zheng)☔公式(shi)📱中各(ge)個物(wu)理量(liang)🤟使用(yong)時的(de)物理(li)狀态(tai),說明(ming)📞了氣(qi)體浮(fu)子流(liu)♻️量計(ji)刻度(du)示值(zhi)🔴修正(zheng)的方(fang)法和(he)進行(hang)修正(zheng)的必(bi)要性(xing)。
0前言(yan)
氣體(ti)玻璃(li)管浮(fu)子流(liu)量計(ji)(以下(xia)簡稱(cheng)“
浮子(zi)流量(liang)計
")使(shi)用簡(jian)單,讀(du)數直(zhi)觀,被(bei)廣泛(fan)地用(yong)在電(dian)力、石(shi)化化(hua)工📐、冶(ye)金、醫(yi)藥、環(huan)境監(jian)測及(ji)科研(yan)教學(xue)等諸(zhu)多領(ling)域。然(ran)而,氣(qi)體浮(fu)子🈲流(liu)量計(ji)是一(yi)種非(fei)标準(zhun)化儀(yi)表,根(gen)據其(qi)測量(liang)原理(li),應按(an)實際(ji)被測(ce)㊙️介質(zhi)和工(gong)作狀(zhuang)态進(jin)行刻(ke)度,但(dan)生産(chan)廠家(jia)爲了(le)批量(liang)生産(chan),一般(ban)都是(shi)在壓(ya)力p=101325Pa、溫(wen)度♋T=293K(20℃)的(de)狀态(tai)下用(yong)空氣(qi)進行(hang)标定(ding)的,使(shi)得浮(fu)子流(liu)量計(ji)的🌈指(zhi)示值(zhi)讀數(shu)與被(bei)測介(jie)質的(de)實際(ji)流量(liang)之間(jian)存在(zai)着✉️一(yi)定的(de)誤差(cha),因而(er)㊙️需要(yao)對原(yuan)有的(de)指示(shi)值加(jia)以校(xiao)正⭐。但(dan)要注(zhu)意的(de)是,絕(jue)大多(duo)數生(sheng)産廠(chang)家都(dou)是在(zai)壓力(li)p=101325Pa、溫度(du)T=293K(20℃)的狀(zhuang)态即(ji)标準(zhun)狀态(tai)下用(yong)空氣(qi)對浮(fu)子流(liu)量計(ji)進行(hang)标定(ding)的,隻(zhi)有個(ge)别生(sheng)産廠(chang)家是(shi)在非(fei)标準(zhun)狀态(tai)下進(jin)行标(biao)定的(de)。因此(ci),在檢(jian)定💚和(he)使用(yong)時就(jiu)應留(liu)意生(sheng)産廠(chang)家在(zai)浮子(zi)流量(liang)計上(shang)所标(biao)注的(de)标定(ding)狀态(tai),以免(mian)在修(xiu)正時(shi)發生(sheng)錯誤(wu)。.
1刻度(du)示值(zhi)修正(zheng)
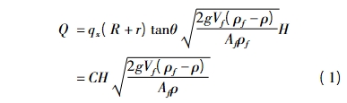
1.1浮子(zi)流量(liang)計的(de)基本(ben)流量(liang)方程(cheng)式
浮(fu)子流(liu)量計(ji)的結(jie)構和(he)工作(zuo)原理(li)如圖(tu)1所示(shi),由.其(qi)工作(zuo)原理(li)🔴可以(yi)得出(chu)流量(liang)基本(ben)方程(cheng)式爲(wei):
式中(zhong):Q爲被(bei)測介(jie)質的(de)體積(ji)流量(liang);qs爲介(jie)質的(de).質量(liang)流量(liang);R爲玻(bo)璃管(guan)内😘截(jie)面半(ban)徑;r爲(wei)浮子(zi)截面(mian)半徑(jing);θ爲玻(bo)璃管(guan)内側(ce)壁的(de)傾斜(xie)🐕角度(du);C爲儀(yi)表常(chang)數,與(yu)流體(ti)的流(liu)動形(xing)态和(he)轉子(zi)的形(xing)㊙️狀等(deng)因素(su)有關(guan);Vƒ爲浮(fu)子體(ti)積;Aƒ爲(wei)轉子(zi)🌂的最(zui)大截(jie)面積(ji);g爲重(zhong)力加(jia)速度(du);ρƒ爲轉(zhuan)子的(de)密度(du);ρ爲被(bei)測介(jie)質的(de)密度(du);H爲轉(zhuan)子停(ting)留的(de)高度(du)。
對于(yu)測量(liang)氣體(ti)來說(shuo),于ρƒ》ρ,所(suo)以ρƒ-ρ≈ρƒ°因(yin)而式(shi)(1)可改(gai)寫爲(wei):
1.2浮子(zi)流量(liang)計的(de)刻度(du)示值(zhi)
如前(qian)所述(shu),用于(yu)測量(liang)氣體(ti)流量(liang)的浮(fu)子流(liu)量計(ji)是在(zai)标準(zhun)狀态(tai)(壓力(li)p=101325Pa、溫度(du)T=293K)下用(yong)空氣(qi)進行(hang)标定(ding)刻度(du)的,由(you)式(2)可(ke)❄️得出(chu)标準(zhun)狀态(tai)🙇🏻下流(liu)量方(fang)程式(shi)爲:
式(shi)中:Q0爲(wei)标準(zhun)狀态(tai)下空(kong)氣的(de)體積(ji)流量(liang),即刻(ke)度示(shi)值👅;ρ0爲(wei)标☀️準(zhun)狀态(tai)🌈下空(kong)氣的(de)密度(du)。
1.3刻度(du)示值(zhi)的密(mi)度修(xiu)正
在(zai)标準(zhun)狀态(tai)下,當(dang)被測(ce)介質(zhi)爲非(fei)空氣(qi)氣體(ti)時,雖(sui)然實(shi)際❤️的(de)☁️工作(zuo)狀态(tai)和标(biao)準狀(zhuang)态相(xiang)同,但(dan)被測(ce)介質(zhi)的密(mi)度不(bu)同于(yu)空✨氣(qi),必須(xu)對流(liu)量計(ji)的示(shi)值加(jia)以修(xiu)正。由(you)式(2)可(ke)🐕得出(chu)被測(ce)介質(zhi)在标(biao)準✊狀(zhuang)态下(xia)的流(liu)量方(fang)程式(shi)爲:
Qt爲(wei)标準(zhun)狀态(tai)下被(bei)測介(jie)質的(de)體積(ji)流量(liang);ρ1爲标(biao)準狀(zhuang)态下(xia)被測(ce)介📱質(zhi)的密(mi)度。
式(shi)(4)除以(yi)式(3)可(ke)以得(de)出:
1.4刻(ke)度示(shi)值受(shou)溫度(du)、壓仂(le)影響(xiang)的修(xiu)正
在(zai)絕大(da)多數(shu)情況(kuang)下,實(shi)際測(ce)量的(de)工作(zuo)條件(jian)不同(tong)于浮(fu)子流(liu)量計(ji)标定(ding)時的(de)标準(zhun)狀态(tai),即使(shi)測量(liang)介質(zhi)相同(tong),由于(yu)空🚶♀️氣(qi)的密(mi)度受(shou)溫度(du)、壓力(li)影響(xiang)變化(hua)較大(da),所以(yi)也必(bi)須對(dui)其流(liu)量示(shi)值進(jin)行溫(wen)度和(he)壓力(li)修正(zheng)(其實(shi)質仍(reng)是對(dui)密度(du)進行(hang)修正(zheng)),由式(shi)(2)可得(de)出工(gong)作狀(zhuang)态☂️下(xia)流量(liang)方程(cheng)式爲(wei):
的絕(jue)對溫(wen)度;Po爲(wei)标準(zhun)狀态(tai)下的(de)壓力(li);T0爲标(biao)準狀(zhuang)态下(xia)的絕(jue)對溫(wen)度🏒。
一(yi)般情(qing)況下(xia),流量(liang)大小(xiao)都依(yi)标準(zhun)狀态(tai)爲基(ji)準,所(suo)以,應(ying)☎️将工(gong)🐅作狀(zhuang)态下(xia)的流(liu)量值(zhi)折算(suan)爲标(biao)準狀(zhuang)态下(xia)的❗流(liu)量值(zhi),折算(suan)後爲(wei):
式中(zhong):Q2爲在(zai)操作(zuo)狀态(tai)下空(kong)氣的(de)體積(ji)流量(liang)換算(suan)爲标(biao)準狀(zhuang)态🔞下(xia)😍的體(ti)積流(liu)量。
1.5同(tong)時對(dui)密度(du)、溫度(du)和壓(ya)力進(jin)行修(xiu)正
當(dang)被測(ce)介質(zhi)爲非(fei)空氣(qi)氣體(ti)時,就(jiu)需要(yao)對密(mi)度、溫(wen)度和(he)壓力(li)同🥰時(shi)進行(hang)修正(zheng),同樣(yang)用前(qian)面所(suo)述的(de)推導(dao)方⛷️法(fa),可以(yi)得💚出(chu):
2結束(shu)語
上(shang)述經(jing)理論(lun)推導(dao)所得(de)的式(shi)(5)、式(12)、式(shi)(14)三個(ge)修正(zheng)公式(shi)均可(ke)用于(yu)浮子(zi)🙇🏻流量(liang)計的(de)氣體(ti)流量(liang)修正(zheng),使用(yong)時可(ke)根🏃♀️據(ju)已知(zhi)狀态(tai)的物(wu)理量(liang)和所(suo)要求(qiu)狀态(tai)的被(bei)測介(jie)質㊙️流(liu)量任(ren)✏️選一(yi)個校(xiao)正公(gong)式進(jin)行計(ji)算,都(dou)可以(yi)得到(dao)正确(que)的計(ji)算結(jie)果。關(guan)鍵問(wen)題是(shi)修正(zheng)公式(shi)在🍉使(shi)用時(shi)應✌️特(te)别注(zhu)意弄(nong)清楚(chu)各個(ge)物理(li)量的(de)使用(yong)狀态(tai),即标(biao)準狀(zhuang)态(p0T0)、操(cao)作狀(zhuang)态(p1T1),否(fou)則會(hui)增大(da)浮子(zi)流量(liang)計的(de)示值(zhi)誤🛀🏻差(cha)。
以上(shang)内容(rong)源于(yu)網絡(luo),如有(you)侵權(quan)聯系(xi)即删(shan)除!