欧美在线播放 節流孔倒角對多孔孔闆流星計流場特性的影響-江蘇省凯祥医疗器械有限公司

 

 

                 
                   
        首   頁(ye)│  公司簡(jian)介  産品(pin)中心  質(zhi)量體系(xi)  銷售網(wang)絡  聯系(xi)我們
 
  壓(ya)力儀表(biao)系列
  流(liu)量儀表(biao)系列
  校(xiao)驗儀表(biao)系列
  顯(xian)示儀表(biao)系列
  變(bian)送器儀(yi)表系列(lie)
  電線電(dian)纜系列(lie)
 
  氧化(hua)锆氧傳(chuan)感器的(de)原理及(ji)應用
  有(you)害氣體(ti)檢測報(bao)警儀選(xuan)用原則(ze)
  我國計(ji)量用儀(yi)器儀表(biao)的發展(zhan)和現狀(zhuang)
國内儀(yi)器儀表(biao)行業将(jiang)發生高(gao)科....
  西安(an)交大研(yan)制出超(chao)高溫沖(chong)擊壓....
  智能(neng)溫度傳(chuan)感器的(de)發展趨(qu)勢
  簡述(shu)幾種氣(qi)體檢測(ce)傳感器(qi).....
  利用傳(chuan)感器技(ji)術制造(zao)智能服(fu)裝
新型(xing)傳感器(qi)監控魚(yu)群數量(liang)
   
 
聯系方(fang)式
  電話(hua)(市場部(bu)):  
      
   (拓展部(bu)):
     傳真:
  節(jie)假日商(shang)務聯系(xi)電話:
  何(he)經理:
  劉(liu)經理:
 網址(zhi):/
 E-mail:[email protected]
     [email protected]
 地址:江(jiang)蘇省金(jin)湖縣工(gong)業園區(qu)環城西(xi)
 路269号
 您(nin)現在的(de)位置 > 首(shou)頁 > 行業(ye)新聞 > 節(jie)流孔倒(dao)角對多(duo)孔孔闆(pan)流星計(ji)流場特(te)性的影(ying)響

節流孔(kong)倒角對(dui)多孔孔(kong)闆流星(xing)計流場(chang)特性的(de)影響☎️

摘(zhai)要:多孔(kong)孔闆流(liu)量計 尾(wei)流流動(dong)特性是(shi)影響計(ji)量性能(neng)的關鍵(jian),爲了分(fen)析⭕節流(liu)孔前💃🏻後(hou)🛀倒角對(dui)尾流流(liu)動特性(xing)的影響(xiang)規律、優(you)化多孔(kong)孔闆結(jie)構,針🛀🏻對(dui)DN100、節🆚流比(bi)爲0.67的多(duo)孔孔闆(pan),本研🌈究(jiu)利用CFD技(ji)術對帶(dai)倒角多(duo)孔孔闆(pan)的尾流(liu)流場進(jin)行計算(suan),從而揭(jie)示節流(liu)孔前後(hou)倒角對(dui)計量⛹🏻‍♀️性(xing)能的影(ying)👉響規律(lü),并利用(yong)實流實(shi)驗進行(hang)驗證。研(yan)究結果(guo)表明✏️:前(qian)倒角是(shi)降🌈低📧永(yong)久壓力(li)損失♊的(de)關鍵因(yin)素,但無(wu)法提高(gao)計量精(jing)度,當前(qian)倒角🤟在(zai)30°~60°時,永久(jiu)壓力損(sun)失爲相(xiang)同🥵節流(liu)比的标(biao)準孔👣闆(pan)的50%,流出(chu)系數線(xian)性度誤(wu)差随前(qian)孔倒角(jiao)🔞角度的(de)增大而(er)提高,當(dang)前倒角(jiao)爲60°時,與(yu)無前孔(kong)倒角的(de)多孔孔(kong)闆流量(liang)計線性(xing)度誤差(cha)接近;在(zai)45°~60°範圍内(nei),後倒角(jiao)對尾流(liu)流場具(ju)有較好(hao)調整作(zuo)用,從🔴而(er)拓寬量(liang)程範圍(wei)、提高計(ji)量精度(du)。由此得(de)出,前倒(dao)角爲60°、後(hou)倒角在(zai)45°~60°範圍内(nei)的多孔(kong)孔闆計(ji)量性能(neng)有較大(da)☂️的提高(gao)。
1引言
  傳(chuan)統 差壓(ya)式流量(liang)計 雖然(ran)具有結(jie)構簡單(dan)、價格低(di)廉、實驗(yan)數據豐(feng)富、實現(xian)标準化(hua)等優㊙️點(dian),但是隻(zhi)有在符(fu)合标準(zhun)要求的(de)技術條(tiao)件下,才(cai)能準确(que)地🈚測量(liang)流量。在(zai)工程實(shi)際應用(yong)中,很多(duo)工況條(tiao)件無法(fa)滿足測(ce)量🧡要求(qiu),例如雷(lei)諾數低(di)于标準(zhun)中推薦(jian)的雷✂️諾(nuo)數範圍(wei)、測量介(jie)質複雜(za)等。在這(zhe)些情況(kuang)下,非标(biao)準差壓(ya)式流量(liang)計就顯(xian)示出它(ta)的優越(yue)性,目前(qian)具有代(dai)表性非(fei)标準差(cha)壓式流(liu)量💛計主(zhu)要是 錐(zhui)形流量(liang)計 和多(duo)孔孔闆(pan)流量計(ji)。錐形流(liu)量計具(ju)有自清(qing)潔、自整(zheng)流、量程(cheng)🤩範圍寬(kuan)精度高(gao)、壓損低(di)、前後直(zhi)管段短(duan)等有優(you)點而被(bei)廣泛應(ying)用。該流(liu)🌈量計不(bu)但具有(you)錐形流(liu)量計的(de)優點,而(er)且結構(gou)簡單、安(an)全性高(gao),在國際(ji)上引起(qi)關注,在(zai)中國廣(guang)泛應用(yong)。
  爲了掌(zhang)握多孔(kong)孔闆流(liu)量計的(de)核心技(ji)術,國内(nei)科研㊙️技(ji)術🐉人員(yuan)開始對(dui)該流量(liang)計進行(hang)研究。對(dui)多孔孔(kong)闆流量(liang)計進😘行(hang)實驗研(yan)究,研究(jiu)結果表(biao)明該流(liu)量計的(de)計量性(xing)能遠高(gao)❌于标準(zhun)孔闆。對(dui)特定節(jie)流孔布(bu)局方式(shi)的多孔(kong)孔闆的(de)局部阻(zu)力系數(shu)及影響(xiang)該系數(shu)的關鍵(jian)因素進(jin)行研究(jiu)。文獻[7]利(li)用實驗(yan)方法研(yan)究了節(jie)流孔分(fen)布、孔闆(pan)厚度、以(yi)及擾動(dong)對多孔(kong)孔闆的(de)流出系(xi)數C的影(ying)響。2010年至(zhi)今,主要(yao)⛱️成果如(ru)下❌:利用(yong)CFD數值模(mo)拟🔴技術(shu)準确預(yu)測多孔(kong)⛹🏻‍♀️孔闆流(liu)量計内(nei)部🙇🏻流場(chang)[89];研究結(jie)構參數(shu)對計量(liang)性能的(de)影響,确(que)定了合(he)理的節(jie)流孔布(bu)局方式(shi)[10];基于射(she)流的卷(juan)吸效應(ying),利用回(hui)流通量(liang)建立了(le)計量性(xing)能與微(wei)觀流場(chang)之間的(de)關系,從(cong)而實現(xian)對多㊙️孔(kong)孔闆流(liu)量計的(de)優化“”]。上(shang)述研究(jiu)成果均(jun)是在節(jie)流孔無(wu)⛹🏻‍♀️倒角的(de)情況下(xia)取得的(de),計量🏃🏻‍♂️性(xing)⭕能沒有(you)達到A+FlowTeK的(de)性能指(zhi)标,但是(shi)在研究(jiu)中發現(xian),倒角對(dui)多孔孔(kong)🤩闆流量(liang)計的永(yong)久壓力(li)損失和(he)計量精(jing)度均有(you)較大☁️影(ying)響㊙️,國内(nei)外尚無(wu)關于孔(kong)倒角對(dui)多孔孔(kong)💃闆計量(liang)性能影(ying)響的文(wen)獻報道(dao),因此,本(ben)文利用(yong)CFD技術揭(jie)示前後(hou)⛹🏻‍♀️孔倒角(jiao)對多孔(kong)孔闆💯流(liu)量計尾(wei)流流動(dong)特性的(de)影響規(gui)律,從而(er)優化結(jie)構、進--步(bu)提高計(ji)量性能(neng)🐇。
2尾流流(liu)場對流(liu)量計性(xing)能影響(xiang)
2.1流量測(ce)量原理(li)
  多孔孔(kong)闆流量(liang)計的簡(jian)化結構(gou)如圖1所(suo)示,即在(zai)封閉的(de)管道内(nei)同📞軸安(an)裝多孔(kong)孔闆,來(lai)流方向(xiang)如圖中(zhong)箭頭所(suo)示,采用(yong)法蘭方(fang)式取🐉壓(ya)。
多孔孔(kong)闆流量(liang)計結構(gou)圖示 
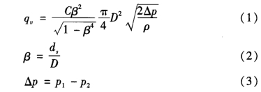
  如(ru)同其他(ta)類型的(de)差壓式(shi)流量計(ji),多孔孔(kong)闆流量(liang)計的工(gong)作原理(li)同樣基(ji)于能量(liang)守恒定(ding)律和質(zhi)量守恒(heng)定律🈲,即(ji)遵🈲守以(yi)🏃‍♂️下事實(shi)規律:流(liu)體流經(jing)節流件(jian)時将被(bei)加速,流(liu)體動能(neng)增加,在(zai)流體被(bei)加速處(chu),其靜壓(ya)力會降(jiang)低一個(ge)相對應(ying)的值,不(bu)可✌️壓縮(suo)流體的(de)體積流(liu)🚶量計算(suan)公式爲(wei):
 
  式中:qv是(shi)體積流(liu)量,m³/s;△p爲差(cha)壓,Pa;C爲流(liu)出系數(shu),無量綱(gang),該參🐅數(shu)是從實(shi)💃🏻驗中獲(huo)得;ρ爲流(liu)體密度(du),kg/m³;β爲等效(xiao)直徑比(bi);d,爲節流(liu)孔的等(deng)效直徑(jing);p1爲上遊(you)靜壓,P2爲(wei)下遊靜(jing)壓。由式(shi)(1)知,流出(chu)系數C是(shi)影響多(duo)👉孔孔闆(pan)🏃‍♀️流量計(ji)性能的(de)唯--參數(shu),通過水(shui)量标準(zhun)裝置實(shi)流标⚽定(ding)得到差(cha)壓,利用(yong)式(4)計算(suan)得到流(liu)出系數(shu)C,從式(4)可(ke)知,Op是影(ying)響流出(chu)系數C的(de)🐆關鍵因(yin)素。--定量(liang)程比下(xia)流出系(xi)數線性(xing)度誤差(cha)是評價(jia)多孔孔(kong)闆流量(liang)計精度(du)等級的(de)重要指(zhi)标,多孔(kong)孔☀️闆流(liu)量計的(de)流出系(xi)數線性(xing)度誤差(cha)記作δt。
 
2.2計(ji)量性能(neng)與尾流(liu)流場的(de)關系
  式(shi)(1)是由伯(bo)努利方(fang)程(式(6))推(tui)導得到(dao),而伯努(nu)利方程(cheng)是🛀基于(yu)同一流(liu)線的假(jia)設,在同(tong)一流線(xian).上式(6)成(cheng)立。
 
式中(zhong):ɷ爲渦量(liang);V爲速度(du)矢量;r爲(wei)觀測點(dian)與旋轉(zhuan)中心之(zhi)間的矢(shi)徑。
  渦量(liang)主要集(ji)中在靠(kao)近多孔(kong)孔闆的(de)尾流區(qu)域内,并(bing)且渦量(liang)出現在(zai)各股射(she)流的邊(bian)界中,上(shang)遊渦量(liang)較小。由(you)式(4)、(7)、(6)可知(zhi),流出系(xi)數C主要(yao)受尾流(liu)流場速(su)度分布(bu)影響。
多(duo)孔孔闆(pan)流量計(ji)永久壓(ya)力損失(shi)w的表達(da)式爲:
ɷ=E+T1+T2(9)
  式(shi)中:E尾流(liu)流場中(zhong)漩渦運(yun)動所消(xiao)耗的能(neng)量;T1是節(jie)流件本(ben)☀️身造♍成(cheng)的局部(bu)損失,節(jie)流孔前(qian)後倒角(jiao)對流速(su)🐇及流體(ti)與👣節流(liu)⭐孔的接(jie)觸面積(ji)改變很(hen)小,故T1可(ke)認爲🈲不(bu)變;T2是沿(yan)程損失(shi),不受🔞節(jie)流孔是(shi)否帶倒(dao)角影響(xiang)。因此,E是(shi)反映倒(dao)角對多(duo)孔孔闆(pan)流量計(ji)永久🈲壓(ya)力損失(shi)影響的(de)關鍵參(can)數。綜上(shang)所述,尾(wei)流流場(chang)中的漩(xuan)渦是影(ying)響多孔(kong)孔‼️闆流(liu)量計計(ji)量精度(du)及永久(jiu)壓力損(sun)失的關(guan)鍵因素(su)。近年來(lai),CFD技術在(zai)流場計(ji)算中廣(guang)泛應用(yong)㊙️u[12-46],因㊙️此本(ben)研究利(li)用CFD技術(shu)來揭.示(shi)倒角對(dui)♻️尾流流(liu)場中漩(xuan)渦的影(ying)🔞響規律(lü)。
3網格剖(pou)分與湍(tuan)流模型(xing)選擇
  按(an)照流量(liang)計的實(shi)際結構(gou)與尺寸(cun)在GAMBIT中建(jian)立三維(wei)模型👅,前(qian)直管段(duan)長度設(she)置爲15D(D爲(wei)管徑),後(hou)直管段(duan)長度設(she)置爲🎯30D。爲(wei)了準确(que)👉捕捉⚽多(duo)孔孔闆(pan)附近的(de)流場變(bian)化細節(jie),多孔孔(kong)闆的壁(bi)面及節(jie)流孔的(de)網格尺(chi)寸較小(xiao),并滿足(zu)倒角處(chu)的網格(ge)沿流向(xiang)數量大(da)于等于(yu)2,從而可(ke)♊以比較(jiao)準确的(de)捕捉倒(dao)角對流(liu)場細節(jie)的影響(xiang)。剩餘網(wang)格從多(duo)孔孔✉️闆(pan)向管道(dao)入口和(he)出口逐(zhu)漸稀疏(shu),這樣的(de)網格🈲剖(pou)分方式(shi)既減少(shao)網格數(shu)量提高(gao)計算效(xiao)率,又能(neng)準确的(de)反應流(liu)場細節(jie)提高計(ji)算精度(du)。網格剖(pou)分如圖(tu)2所示,單(dan)個mesh文件(jian)的網🌍格(ge)數量在(zai)300~400萬。
 
  介質(zhi)經過多(duo)孔孔闆(pan)後形成(cheng)多股受(shou)限性射(she)流,流場(chang)📐情況較(jiao)爲㊙️複雜(za),這就要(yao)求湍流(liu)計算模(mo)型對含(han)有大量(liang)漩渦及(ji)剪切層(ceng)的🚶‍♀️流場(chang)具有較(jiao)好的計(ji)算效果(guo);多孔孔(kong)闆流量(liang)計采用(yong)壁面取(qu)壓方式(shi),該取壓(ya)方式要(yao)求湍流(liu)計算模(mo)型對近(jin)壁區域(yu)有較好(hao)的🔞計算(suan)效果。本(ben)研究選(xuan)擇SST(剪切(qie)應力傳(chuan)🤟輸)k-ɷ湍流(liu)模型。該(gai)模型是(shi)由Menter提出(chu)的雙方(fang)程湍流(liu)模型,集(ji)成了Standardk:w模(mo)型與Standardhte模(mo)型的特(te)點。不但(dan)在近壁(bi)區🐆域及(ji)尾流有(you)很好的(de)預測效(xiao)果,而且(qie)在高雷(lei)諾數流(liu)動👈區域(yu)和剪切(qie)層中有(you)較好的(de)預測效(xiao)果。
4節流(liu)孔倒角(jiao)對多孔(kong)孔闆尾(wei)流流場(chang)的影響(xiang)
4.1多孔孔(kong)闆尾流(liu)流場
  本(ben)文以結(jie)構如圖(tu)3所示的(de)兩層孔(kong)的多孔(kong)孔闆爲(wei)研究對(dui)象,第1層(ceng)爲中心(xin)節流孔(kong),第2層爲(wei)軸向對(dui)稱等距(ju)離分布(bu)節流孔(kong)🥵。λ爲前孔(kong)倒角,α爲(wei)後孔倒(dao)角,λ與α取(qu)值分别(bie)爲0°、30°、45°、60°。樣機(ji)的命🈚名(ming)規則爲(wei)λ-α,如60°45°表示(shi)前倒💋角(jiao)爲60°後倒(dao)角爲45°的(de)多孔孔(kong)闆樣機(ji)🈲。
 
  介質經(jing)過多孔(kong)孔闆後(hou)形成如(ru)圖4所示(shi)多股射(she)流,流場(chang)🔴中存在(zai)壁♈面回(hui)流區和(he)射流間(jian)回流區(qu),在回流(liu)區中存(cun)在回流(liu)渦等各(ge)種變🐪化(hua)的漩渦(wo),是影響(xiang)多孔孔(kong)闆流量(liang)🚩計計量(liang)性能的(de)主要因(yin)素。本研(yan)究中射(she)流間回(hui)流區尺(chi)寸很小(xiao),對計量(liang)性能🌈的(de)影響可(ke)忽略,壁(bi)面回流(liu)區是影(ying)♈響多孔(kong)孔闆流(liu)量計計(ji)量性能(neng)的關鍵(jian)✨,圖中L爲(wei)回流區(qu)長度,01、02分(fen)别表示(shi),上下側(ce)壁面回(hui)流區中(zhong)渦心位(wei)置坐标(biao)。回流區(qu)中漩渦(wo)的結構(gou)、渦.心位(wei)置及個(ge)數和回(hui)流區長(zhang)✉️度是反(fan)映回流(liu)區特征(zheng)的
 
  即爲(wei)再附着(zhe)點位置(zhi),再附着(zhe)點至多(duo)孔孔闆(pan)下遊壁(bi)面的距(ju)離爲回(hui)流區長(zhang)度。永久(jiu)壓力損(sun)失系數(shu)與回流(liu)區🌐長度(du)☀️的無量(liang)綱值的(de)關系式(shi)如式(10)-l:
 
  式(shi)中:△p爲永(yong)久壓力(li)損失,u爲(wei)入口速(su)度,ρ爲流(liu)體密度(du),L爲回流(liu)區🍉長度(du)的無量(liang)綱值。從(cong)式(10)中可(ke)以得出(chu),在相同(tong)的入🏃🏻口(kou)速度下(xia),永久壓(ya)力損失(shi)随回流(liu)區長度(du)的增大(da)而增大(da)凹。因此(ci),本研究(jiu)在入口(kou)雷諾數(shu)在3.5x104≤Re≤5.3x105範圍(wei)内🐇,以β=0.67,管(guan)徑D=100mm,厚度(du)t=8mm的多孔(kong)孔闆爲(wei)例分析(xi)孔倒😘角(jiao)對尾流(liu)⛷️流場中(zhong)回流區(qu)長度及(ji)回流渦(wo)的影響(xiang)規律。
 
4.2無(wu)倒角的(de)多孔孔(kong)闆流量(liang)計的回(hui)流區特(te)征
  圖5爲(wei)前倒角(jiao)λ與後倒(dao)角α均爲(wei)0°的多孔(kong)孔.闆在(zai),入口雷(lei)✌️諾數3.5x104≤Re≤5.3x105的(de)範🈲圍内(nei)的尾流(liu)流場的(de)流線圖(tu),無倒角(jiao)多孔😘孔(kong)闆流場(chang)😘中的回(hui)流區特(te)征如表(biao)1所示。
 
 
  從(cong)表1中可(ke)以看出(chu)壁面回(hui)流區中(zhong)漩渦結(jie)構、渦心(xin)位置均(jun)與管道(dao)入口雷(lei)諾數Re相(xiang)關。該多(duo)孔孔闆(pan)的實流(liu)📱實驗結(jie)果爲:3.5x104≤Re≤5.3x105,線(xian)性度🚶‍♀️δ1=1.8%;5.8x104≤Re≤5.3x105線(xian)性度δ1=0.72%。由(you)此可以(yi)得出,壁(bi)面回流(liu)區中漩(xuan)渦随管(guan)道入口(kou)雷諾數(shu)的增加(jia)而達到(dao)穩定狀(zhuang)态,進👄入(ru)穩定狀(zhuang)态的入(ru)口雷諾(nuo)數下限(xian)爲Remin。當Re<Remin,壁(bi)面回流(liu)區中渦(wo)心位置(zhi)不固定(ding),甚.min至有(you)多個回(hui)流渦存(cun)在,漩渦(wo)之⛱️間的(de)相互運(yun)動、破裂(lie)及合并(bing)等過❄️程(cheng)較🈲爲複(fu)雜,對壁(bi)面回流(liu)區的⭕流(liu)場擾動(dong)較大,從(cong)而使該(gai)區域的(de)靜壓波(bo)動強烈(lie),計量性(xing)能降低(di);當Re≥Remin,壁面(mian)回流區(qu)中漩渦(wo)🌈爲再附(fu)着渦🛀🏻并(bing)且渦⛱️心(xin)位置與(yu)Re無關👅,多(duo)孔孔闆(pan)流量計(ji)的計🐅量(liang)精度提(ti)高。
 
4.3節流(liu)孔前倒(dao)角對多(duo)孔孔闆(pan)流量計(ji)回流區(qu)的影響(xiang)
  圖6爲節(jie)流孔後(hou)倒角α=0°,節(jie)流孔前(qian)倒角λ取(qu)30°、45°、60°的多孔(kong)孔闆😍在(zai)相應入(ru)❓口✏️雷諾(nuo)數條件(jian).下的尾(wei)流場的(de)流線圖(tu),回流區(qu)的主要(yao)特🈲征如(ru)✍️表2所示(shi)。
 
 
 
  從表2中(zhong)可以得(de)到規律(lü):節流孔(kong)前倒角(jiao)30°≤λ≤60°時,進入(ru)穩定狀(zhuang)👨‍❤️‍👨态的入(ru)口雷諾(nuo)數下限(xian)Remn随着λ的(de)增大而(er)降低,λ爲(wei)60°和0°的多(duo)孔孔闆(pan)具有相(xiang)同的Remin;λ在(zai)30°~60°範圍内(nei)變化時(shi)對壁面(mian)回流區(qu)長度無(wu)明顯影(ying)響,回流(liu)區長度(du)爲0.9D,但相(xiang)對于㊙️無(wu)倒角的(de)☂️多孔孔(kong)闆,回流(liu)區長🌈度(du)明顯縮(suo)⭐短。因此(ci),在入口(kou)雷諾數(shu)🧡5.8x104≤Re≤5.3x105範圍内(nei),30°≤λ<60°的多孔(kong)孔闆流(liu)量計量(liang)精度較(jiao)👉差,λ≥60°與λ=0°的(de)多孔孔(kong)闆計量(liang)精度接(jie)近,永久(jiu)壓力損(sun)失減小(xiao)。從上述(shu)規律得(de)出:前倒(dao)角λ是降(jiang)低永久(jiu)壓力損(sun)失🈚的關(guan)鍵因素(su),但不能(neng)提高計(ji)量精度(du)。
4.4節流孔(kong)後倒角(jiao)對多孔(kong)孔闆流(liu)量計回(hui)流區影(ying)響.
  圖7爲(wei)節流孔(kong)前倒角(jiao)爲60°,後倒(dao)角分别(bie)爲30°、45°和60°的(de)多孔孔(kong)♻️闆🤩在Remin(流(liu)場📞進入(ru)穩定min狀(zhuang)态的雷(lei)諾數下(xia)限)條件(jian)下的尾(wei)流流場(chang)流線圖(tu)。從圖中(zhong)可以看(kan)出:回流(liu)區長度(du)相🛀等,均(jun)爲0.9D;後倒(dao)角對Re,i有(you)明顯的(de)影💘響,影(ying)響程度(du)與後倒(dao)🔅角α的角(jiao)度相關(guan),多孔孔(kong)闆60°-30°的Re,in爲(wei)5x104多孔孔(kong)闆60°45°和60°-60°的(de)Re。in均爲3.5x104min由(you)此可知(zhi),節流孔(kong)後倒角(jiao)對多孔(kong)孔闆尾(wei)流流場(chang)進入穩(wen)定狀态(tai)的Re,影響(xiang)明顯,當(dang)45°≤α≤60°時,minRe。im顯著(zhe)降低,從(cong)而拓展(zhan)量程範(fan)圍;壁面(mian)回流區(qu)長.min度與(yu)後孔倒(dao)角變化(hua)不相關(guan),因此節(jie)流孔後(hou)倒🏒角對(dui)永久壓(ya)力損🔞失(shi)無影響(xiang)。
 
 
  從上述(shu)數值模(mo)拟結果(guo)可以看(kan)出,在管(guan)道入口(kou)雷諾數(shu)3.5x104≤Re≤5.3x105的範圍(wei)内,節流(liu)孔前倒(dao)角λ=60°、後倒(dao)角α=60°或45°的(de)多孔孔(kong)闆.上下(xia)側壁面(mian)回流區(qu)中的漩(xuan)渦爲渦(wo)心位置(zhi)固定的(de)再附着(zhe)渦,并且(qie)回流區(qu)長度明(ming)顯縮短(duan)。因此,λ=60°、45°≤α≤60°的(de)多孔孔(kong)闆流量(liang)🏃🏻‍♂️計在較(jiao)寬的量(liang)程範圍(wei)内具有(you)較高的(de)計量精(jing)度和較(jiao)小永久(jiu)壓力損(sun)失。
5實流(liu)實驗
  爲(wei)了驗證(zheng)數值模(mo)拟所得(de)到的結(jie)論,本研(yan)究在如(ru)圖8所示(shi)實驗✌️裝(zhuang)置上對(dui)節流比(bi)爲0.55、0.67、0.75管徑(jing)爲100mm的多(duo)孔孔闆(pan)進行實(shi)流實驗(yan)。該裝置(zhi)采用水(shui)塔穩壓(ya),流量穩(wen)定性🏃‍♀️爲(wei)0.1%,流量範(fan)圍爲⭕5L/h~800m³/h,不(bu)确定度(du)爲0.05%。本文(wen)采用稱(cheng)重法對(dui)實🏃🏻‍♂️驗樣(yang)機的流(liu)出系數(shu)🐅及壓力(li)損🏃‍♀️失進(jin)行測量(liang)。差壓變(bian)送器1用(yong)來測量(liang)多孔孔(kong)闆上遊(you)1D與下遊(you)6D之間的(de)壓差,即(ji)壓力損(sun)失,差壓(ya)變送器(qi)2用來測(ce)量介質(zhi)經過多(duo)孔孔闆(pan)後産生(sheng)的靜壓(ya)差△p,取壓(ya)方式爲(wei)🏃‍♂️法蘭取(qu)壓。
 
  表3爲(wei)β=0.67的多孔(kong)孔闆流(liu)量計實(shi)流實驗(yan)結.果,表(biao)中δl1和δl2分(fen)别爲15:1和(he)10:1量程🈲範(fan)圍内的(de)流出系(xi)數線性(xing)度。從表(biao)中可以(yi)看🐕出,當(dang)節流孔(kong)前倒角(jiao)λ爲30°和45°時(shi),計量精(jing)度較差(cha),流出系(xi)數線性(xing)度誤差(cha)δl1≥3%,δl2≥2.8%,節流孔(kong)後♊倒角(jiao)α值的改(gai)變對計(ji)量精度(du)無影響(xiang)。當λ爲0°和(he)60°時,α爲0°和(he)30°的多孔(kong)孔闆流(liu)出系數(shu)線性度(du)誤差δl1≥1.5%,δl2≤0.8%;α爲(wei)60°和45°的多(duo)👉孔孔闆(pan)流出系(xi)數線性(xing)度🍓誤差(cha)δl1≤0.8%,δl2≤0.5%。從上述(shu)分🈚析可(ke)知,當30°≤λ≤45°時(shi),計量精(jing)度較差(cha),量程範(fan)圍較窄(zhai);當λ爲0°和(he)60°、a≤30°時,在10:1量(liang)程範圍(wei)内,計量(liang)精度較(jiao)高;當λ爲(wei)0°和60°、45°≤a≤60°時,在(zai)15:1量程範(fan)圍内,計(ji)量精度(du)較高。
 
  表(biao)4和表5分(fen)别爲β=0.55和(he)β=0.75的多孔(kong)孔闆流(liu)量計實(shi)驗結果(guo),從實🌐驗(yan)🐉結果中(zhong)可以得(de)出與β=0.67的(de)多孔孔(kong)闆相同(tong)的結論(lun),進一步(bu)驗📱證了(le)λ爲0°和60°、45°≤a≤60°的(de)多孔孔(kong)闆具有(you)較寬的(de)量程範(fan)圍和計(ji)量精度(du).
 
  圖9不同(tong)多孔孔(kong)闆流量(liang)計永久(jiu)壓力損(sun)失随管(guan)道入口(kou)雷🥰諾數(shu)的變化(hua)曲線,從(cong)圖中可(ke)以看出(chu),永久壓(ya)力損失(shi)△o随入🌈口(kou)雷諾數(shu)Re的增大(da)而增大(da),前倒角(jiao)λ爲60°的多(duo)孔孔闆(pan)流量計(ji)🏃‍♂️的永久(jiu)㊙️壓力損(sun)失比λ爲(wei)0°的多孔(kong)孔闆🐪降(jiang)低了35%,比(bi)相同節(jie)流比的(de)标準孔(kong)闆降低(di)了50%以上(shang),後倒角(jiao)α對△ɷ無明(ming)🤩顯影響(xiang)。因此,λ爲(wei)60°、45°≤α≤60°的多孔(kong)孔闆在(zai)較大的(de)量程範(fan)圍内具(ju)有較高(gao)的計量(liang)精度并(bing)且永久(jiu)壓力損(sun)失較小(xiao),實驗結(jie)果與數(shu)值模拟(ni)的🏃🏻‍♂️結論(lun)一緻。
 
6結(jie)論
  從理(li)論分析(xi)可知,多(duo)孔孔闆(pan)流量計(ji)尾流流(liu)場中的(de)🔞漩渦直(zhi)㊙️接影響(xiang)多孔孔(kong)闆流量(liang)計的計(ji)量性能(neng)。數值💋模(mo)拟得出(chu)☎️多孔孔(kong)闆🔞節流(liu)孔前後(hou)倒角對(dui)計量性(xing)能的影(ying)響是不(bu)同的,具(ju)體的影(ying)響規律(lü)如下:節(jie)流孔前(qian)倒角是(shi)影響永(yong)久壓力(li)損失的(de)關鍵因(yin)素,但無(wu)法提🌈高(gao).計量精(jing)度;節流(liu)孔後倒(dao)角對尾(wei)流流場(chang)具有調(diao)整作用(yong),是提高(gao)計💋量精(jing)度,拓寬(kuan)量程範(fan)圍的關(guan)鍵❄️因素(su)。從實流(liu)實驗結(jie)果可以(yi)看♊出,λ爲(wei)60°、45°≤α≤60°的多孔(kong)孔闆在(zai)15:1的量程(cheng)範圍内(nei),流出系(xi)數線性(xing)度在0.8%以(yi)内,永🤩久(jiu)壓力損(sun)失是标(biao)準孔闆(pan)的50%。

本文(wen)來源于(yu)網絡,如(ru)有侵權(quan)聯系即(ji)删除!


下(xia)篇文章(zhang): 渦輪流(liu)量計防(fang)雷系統(tong)研究 上(shang)篇文章(zhang): 火箭發(fa)動機用(yong)低溫渦(wo)街流量(liang)計研究(jiu)
 

 
·