欧美成人精品n 氣體渦街流量計校準異常值剔除-江蘇省凯祥医疗器械有限公司
                 
         公(gong)司簡介(jie)  産品中(zhong)心  銷(xiao)售網絡(luo)  聯系我(wo)們
  溫度(du)儀表系(xi)列
  壓力(li)儀表系(xi)列
  流量(liang)儀表系(xi)列
  校驗(yan)儀表系(xi)列
  顯示(shi)儀表系(xi)列
  變送(song)器儀表(biao)系列
  電(dian)線電纜(lan)系列
 
♌欧美成人精品n💋 電(dian)磁流量(liang)計的工(gong)作原理(li)
  氧化锆(gao)氧傳感(gan)器的原(yuan)理及應(ying)用
  有害(hai)氣體檢(jian)測報警(jing)儀選用(yong)原則
  我(wo)國計量(liang)用儀器(qi)儀表的(de)發展和(he)現狀
  國(guo)内儀器(qi)儀表行(hang)業将發(fa)生高科(ke)....
  西安交(jiao)大研制(zhi)出超高(gao)溫沖擊(ji)壓....
  采用(yong)半導體(ti)精密溫(wen)度傳感(gan)......
  智能溫(wen)度傳感(gan)器的發(fa)展趨勢(shi)
  簡述幾(ji)種氣體(ti)檢測傳(chuan)感器.....
  新型傳(chuan)感器監(jian)控魚群(qun)數量
 
聯(lian)系方式(shi)
  電話(市(shi)場部):  
      
   (拓(tuo)展部):
     傳(chuan)真:
  節假(jia)日商務(wu)聯系電(dian)話:
  何經(jing)理:
  劉經(jing)理:
  郵編(bian):211600
 網址:/
    http://banyunshe.cc/
 E-mail:[email protected]
     [email protected]
 地(di)址:江蘇(su)省金湖(hu)縣工業(ye)園區環(huan)城西
 路(lu)269号
 您現(xian)在的位(wei)置 > 首頁(ye) > 行業新(xin)聞 > 氣體(ti)渦街流(liu)量計校(xiao)準異常(chang)值剔除(chu)

氣體渦(wo)街流量(liang)計校準(zhun)異常值(zhi)剔除
發(fa)布時間(jian):2025-11-27 08:12:21

摘要:文(wen)章從校(xiao)準結果(guo)符合性(xing)判定的(de)角度,簡(jian)要介紹(shao)了格拉(la)布斯準(zhun)則和符(fu)合性判(pan)斷依據(ju)。文章依(yi)據❓JC1029-2007《渦街(jie)⭐流量計(ji)檢💋定規(gui)程》,對氣(qi)體渦街(jie)流量計(ji) 進行計(ji)量性能(neng)校準,依(yi)據格拉(la)布斯準(zhun)則剔除(chu)異常值(zhi),分☔析了(le) 渦街流(liu)量計 校(xiao)準結果(guo)的主要(yao)不确定(ding)度來源(yuan),并進行(hang)分析和(he)評👅定,結(jie)合相關(guan)校準數(shu)據,給出(chu)符合性(xing)判定結(jie)果。
流量(liang)測量是(shi)工業質(zhi)量控制(zhi)和安全(quan)防護的(de)重要保(bao)證。作爲(wei)計量工(gong)作者,做(zuo)好流量(liang)計的檢(jian)校工作(zuo),确保流(liu)量計的(de)檢校質(zhi)量,使企(qi)業依靠(kao)數據安(an)排生産(chan),監控工(gong)藝和檢(jian)驗成品(pin)。做好流(liu)量計的(de)量值傳(chuan)遞和溯(su)源工作(zuo),使法制(zhi)計量機(ji)構更好(hao)的服務(wu)企業,更(geng)好的使(shi)企業應(ying)對市場(chang)競争。所(suo)以流量(liang)計的檢(jian)校工作(zuo)非常重(zhong)要,本文(wen)依據JJG1029-2007《渦(wo)街流量(liang)計檢定(ding)規程》對(dui)氣體渦(wo)街流量(liang)計進行(hang)校準,依(yi)據統計(ji)方法剔(ti)除異常(chang)值,分析(xi)和評定(ding)了其測(ce)量不确(que)定度,并(bing)給出了(le)符合性(xing)判定。爲(wei)計量技(ji)術員對(dui)氣體流(liu)量計校(xiao)準的符(fu)合性判(pan)定提供(gong)一些參(can)考意見(jian)。
1概述
1.1測(ce)量依據(ju):JJC1029-2007《渦街流(liu)量計檢(jian)定規程(cheng)》。
1.2環境條(tiao)件:溫度(du):(15~25)C;相對濕(shi)度:(30~70)RH;大氣(qi)壓力:(101~102)kPa。
1.3測(ce)量标準(zhun):鍾罩式(shi)氣體流(liu)量标準(zhun)裝置,精(jing)度等級(ji)爲0.5級,可(ke)靠程⭐度(du)爲90%。
1.4被測(ce)對象:渦(wo)街流量(liang)計,1.5級,測(ce)量點75.0m3/h。
1.5測(ce)量過程(cheng):按照JJG1029-2007的(de)要求,采(cai)用瞬時(shi)流量比(bi)對法,即(ji)用夾表(biao)器♈将被(bei)測渦街(jie)流量計(ji)夾在測(ce)量管道(dao)上,使介(jie)質氣體(ti)流經氣(qi)體标準(zhun)裝置和(he)被測流(liu)量計,計(ji)算氣體(ti)流量标(biao)準裝置(zhi)和被檢(jian)流量計(ji)的瞬時(shi)流量。
2剔(ti)除異常(chang)值
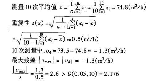
對某(mou)台渦街(jie)流量計(ji)在較短(duan)時間内(nei),重複性(xing)條件下(xia)進行10次(ci)測量,得(de)到數據(ju)如下:74.6、74.5.75.1.73.5、75.0.75.2.74.7.75.1.75.3.74.8。.
首(shou)先運,用(yong)格拉布(bu)斯準則(ze)查看觀(guan)測列中(zhong)有無異(yi)常值。
格(ge)拉布斯(si)準則:,則(ze)最大殘(can)差|?max|對應(ying)的某次(ci)測量值(zhi)xd爲異常(chang)值。式中(zhong)α爲顯著(zhe)性水平(ping),n爲重複(fu)測量次(ci)數,G(α,n)爲格(ge)拉布斯(si)臨界值(zhi),其值可(ke)以通過(guo)查表得(de)到☎️。

所以(yi)觀測值(zhi)中73.5是異(yi)常值,應(ying)剔除。
剔(ti)除後新(xin)觀測列(lie)爲74.6、74.5、75.1、75.0、75.2、74.7.75.1.75.3、74.8。
3測量(liang)模型及(ji)不确定(ding)度評定(ding)
絕對誤(wu)差E=q-qs(1)
式中(zhong):E--被測流(liu)量計的(de)測量誤(wu)差,m3/h;q-被測(ce)渦街流(liu)量計瞬(shun)時流⭐量(liang)示值,m3/h;q,-标(biao)準裝置(zhi)瞬時流(liu)量示值(zhi),m3/h。
由測量(liang)過程和(he)公式(1)可(ke)知其測(ce)量不确(que)定度主(zhu)要來源(yuan)于🍉:在重(zhong)複🚶‍♀️條件(jian)下被測(ce)流量計(ji)測量重(zhong)複性引(yin)起的不(bu)确定度(du)、被檢流(liu)量計💞分(fen)辨力引(yin)人的不(bu)确定度(du)标準裝(zhuang)置的不(bu)确定度(du)🎯和被檢(jian)表及标(biao)準裝置(zhi)處溫度(du)、壓力差(cha)異弓|起(qi)的💚不确(que)定度。
3.1測(ce)量重複(fu)性引入(ru)的不确(que)定度分(fen)量u1

3.4被檢(jian)表和标(biao)準裝置(zhi)處溫度(du)、壓力差(cha)異引入(ru)的不确(que)定度分(fen)量u4
經确(que)認,實驗(yan)室是恒(heng)溫室,且(qie)被檢表(biao)和标準(zhun)裝置間(jian)距離較(jiao)🏃🏻‍♂️短,被檢(jian)表和标(biao)準裝置(zhi)處介質(zhi)溫度、壓(ya)力基本(ben)--緻,溫度(du)和壓力(li)差異導(dao)緻的不(bu)确定度(du)可以不(bu)考慮。
4擴(kuo)展不确(que)定度的(de)評定
u1,u2中(zhong)取其大(da)者,合成(cheng)不确定(ding)度.

該渦(wo)街流量(liang)計示值(zhi)誤差測(ce)量結果(guo)的擴展(zhan)不确定(ding)度
U95=0.5(m3/h),p=95%,Uqff=60
5符合(he)性判斷(duan)
5.1符合性(xing)判斷依(yi)據
分兩(liang)種情況(kuang):

以上内(nei)容源于(yu)網絡,如(ru)有侵權(quan)聯系即(ji)删除!

下(xia)篇文章(zhang): 旋渦流(liu)量計測(ce)量誤差(cha)原因分(fen)析 上篇(pian)文章 氣(qi)體渦輪(lun)流量計(ji)在窯爐(lu)計量的(de)應用
江(jiang)蘇省凯祥医疗器械有限公司是(shi)一家專(zhuan)業提供(gong) 渦街流(liu)量計 渦(wo)輪流量(liang)計 電磁(ci)流量計(ji) 的企業(ye),公司将(jiang)以優質(zhi)的服務(wu)優惠的(de)價格,服(fu)務新老(lao)客戶。
      技術支(zhi)持易品(pin)網絡

 
·
·
·