婷婷综合孔闆流量計内空化現象的數值模拟-江蘇省凯祥医疗器械有限公司
                 
                   
        首   頁(ye)  公司(si)簡介(jie)  産品(pin)中心(xin)  質量(liang)體系(xi)  銷售(shou)網絡(luo)  聯系(xi)我們(men)
 
 
  電(dian)磁流(liu)量計(ji)的工(gong)作原(yuan)理🚶‍♀️婷婷综合💋
  氧(yang)化锆(gao)氧傳(chuan)感器(qi)的原(yuan)理及(ji)應用(yong)
  有害(hai)氣體(ti)檢測(ce)報警(jing)儀選(xuan)用原(yuan)則
  國内(nei)儀器(qi)儀表(biao)行業(ye)将發(fa)生高(gao)科....
  西(xi)安交(jiao)大研(yan)制出(chu)超高(gao)溫沖(chong)擊壓(ya)....
  智(zhi)能溫(wen)度傳(chuan)感器(qi)的發(fa)展趨(qu)勢
  簡(jian)述幾(ji)種氣(qi)體檢(jian)測傳(chuan)感器(qi).....
 
  新(xin)型傳(chuan)感器(qi)監控(kong)魚群(qun)數量(liang)
 
 
聯系(xi)方式(shi)
 電話(hua)(市場(chang)部):  
       
       
   (拓(tuo)展部(bu)):
 傳真(zhen):
 節假(jia)日商(shang)務聯(lian)系電(dian)話:
 何(he)經理(li):
 劉經(jing)理:
 郵(you)編:211600
 網(wang)址:/
 E-mail:[email protected]
     [email protected]
 地(di)址:江(jiang)蘇省(sheng)金湖(hu)縣工(gong)業園(yuan)區環(huan)城西(xi)
 路269号(hao)
 您現(xian)在的(de)位置(zhi) > 首頁(ye) > 行業(ye)新聞(wen) > 孔闆(pan)流量(liang)計内(nei)空化(hua)現象(xiang)的數(shu)值模(mo)拟
     

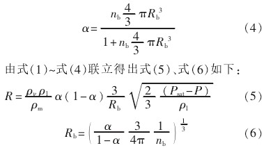
 孔(kong)闆流(liu)量計(ji)内空(kong)化現(xian)象的(de)數值(zhi)模拟(ni)
發布(bu)時間(jian):2025-11-27

 
江(jiang)蘇省(sheng)凯祥医疗器械有限公司是一(yi)家專(zhuan)業提(ti)供渦(wo)街流(liu)量計(ji)渦輪(lun)流量(liang)計電(dian)磁流(liu)量計(ji)的企(qi)業,公(gong)司将(jiang)以優(you)質的(de)服務(wu)優惠(hui)的價(jia)格,服(fu)務新(xin)老客(ke)戶。
      技術(shu)支持(chi)易品(pin)網絡(luo)

  
 
··