摘要:孔(kong)闆流量(liang)計作爲(wei)一種節(jie)流元件(jian)廣泛應(ying)用于工(gong)🌈業實踐(jian)中💋,但在(zai)不同的(de)行業标(biao)準規範(fan)、書籍、專(zhuan)業軟件(jian)中,
孔闆(pan)流量計(ji)
流量計(ji)算方法(fa)各不相(xiang)同,給工(gong)程計算(suan)帶來難(nan)度。從🐉孔(kong)✂️闆流動(dong)的理論(lun)出發,針(zhen)對化工(gong)過程中(zhong)常用的(de)薄壁銳(rui)孔孔闆(pan)流量計(ji)
,分析并(bing)讨論了(le)各種常(chang)用計算(suan)公式和(he)方法的(de)适用🆚範(fan)圍和局(ju)限性,給(gei)出了計(ji)算公式(shi)選用的(de)指導原(yuan)則。
在化(hua)工系統(tong)設計過(guo)程中,孔(kong)闆應用(yong)主要有(you)以下幾(ji)類:①作爲(wei)🧑🏽🤝🧑🏻管道💋元(yuan)件限制(zhi)流體的(de)流量或(huo)降低流(liu)體的💃壓(ya)力;②作爲(wei)孔闆流(liu)量計的(de)一次元(yuan)件。而針(zhen)對.不同(tong)的用途(tu),不同的(de)研🐆究者(zhe)所♍采用(yong)的計算(suan)方法也(ye)不盡相(xiang)同,因而(er)不同的(de)行業标(biao)準規範(fan)、書籍、專(zhuan)業軟件(jian)中孔闆(pan)的計算(suan)公式各(ge)不相同(tong),這也導(dao)緻在實(shi)際工程(cheng)計👅算過(guo)程中對(dui)不同的(de)公式難(nan)以選擇(ze),也難以(yi)判斷其(qi)🐇正确率(lü)。
因此,基(ji)于Bendict[1的工(gong)作,從一(yi)般的單(dan)相流薄(bao)壁孔闆(pan)流通💘方(fang)程出發(fa),對常用(yong)的孔闆(pan)流量計(ji)算公式(shi)進行比(bi)較分析(xi),可以發(fa)現☂️不同(tong)計算方(fang)法所采(cai)用的簡(jian)化假設(she)的适用(yong)範圍,從(cong)而判斷(duan)🈚其正确(que)😄率,用于(yu)🍉指導工(gong)程實踐(jian)。
1單相流(liu)孔闆的(de)一-般流(liu)通方程(cheng)
單相流(liu)孔闆的(de)流動見(jian)圖1,在a截(jie)面前流(liu)體未受(shou)孔闆節(jie)流的影(ying)響,b截面(mian)爲孔闆(pan)處截面(mian),c截面處(chu)流束收(shou)縮最小(xiao)㊙️,平均流(liu)速最大(da)。由于🌈篇(pian)幅所限(xian),這.裏不(bu)給出計(ji)算單相(xiang)流孔闆(pan)流量具(ju)體的推(tui)導過程(cheng),僅給出(chu)一般公(gong)式,其本(ben)質上是(shi)基于動(dong)量守恒(heng)方程和(he)⚽絕熱方(fang)程✊推導(dao)得到的(de)。
其中,q爲(wei)孔闆流(liu)通的質(zhi)量流量(liang);p爲壓力(li);ρ爲密度(du);A爲截面(mian)💚積;C爲收(shou)😄縮⛹🏻♀️系數(shu),即C.=A:/Ag,一般(ban)C.=0.5-1;C。爲速度(du)系數,即(ji)在c截面(mian)處實際(ji)流速♉與(yu)理想流(liu)🌏體流速(su)的比值(zhi),用于表(biao)征實際(ji)能量損(sun)失;β爲b截(jie)面直徑(jing)💛與a截面(mian)直徑比(bi),即β=d/D;k爲等(deng)熵指數(shu)指數,一(yi)般情況(kuang)可以取(qu)理想氣(qi)體絕熱(re)指數。
通(tong)過.上述(shu)公式,Benedict11将(jiang)實際流(liu)體與理(li)想流體(ti)的偏離(li)主要用(yong)C.和C。進行(hang)💋表征,而(er)這兩個(ge)參數可(ke)以通過(guo)關聯不(bu)可壓縮(suo)流體下(xia)的C.;和C.來(lai)計算得(de)到,而不(bu)可壓縮(suo)流體經(jing)過孔闆(pan)的流✂️量(liang)公式,不(bu)論在實(shi)驗還是(shi)理論_上(shang)都得到(dao)了廣泛(fan)的研究(jiu)和驗證(zheng),較爲可(ke)靠。
2常用(yong)孔闆計(ji)算公式(shi)的比較(jiao)分析
2.1化(hua)工工藝(yi)系統工(gong)程設計(ji)規定
作(zuo)爲化工(gong)行業應(ying)用較爲(wei)廣泛的(de)規範,HG/T20570-95[2]中(zhong)的孔闆(pan)流💯量計(ji)算公式(shi)見(3)(4)。
2.1.1可壓(ya)縮流體(ti)
通過比(bi)對文獻(xian)值口和(he)HG/T20570附圖中(zhong)的數據(ju),發現二(er)者大體(ti)一緻,但(dan)是由于(yu)HG/T20570.取的壓(ya)差是孔(kong)闆前和(he)後系統(tong)的背壓(ya),而流體(ti)在最小(xiao).流束❌截(jie)面(c截面(mian))處的壓(ya)力小于(yu)🌍背壓,因(yin)此計算(suan)出來的(de)流通量(liang)會偏低(di),孔徑比(bi)越大,偏(pian)差越大(da)。此外,由(you)于在HG/T20570中(zhong),可壓縮(suo)流體和(he)不可壓(ya)縮流體(ti)采用的(de)㊙️流量系(xi)數C是🐉相(xiang)同的,但(dan)是對比(bi)(3)和(2)不難(nan)🐅發現。
而(er)且根據(ju)文獻數(shu)據中會(hui)發現,Ce與(yu)Cc,i的比值(zhi)随孔闆(pan)前後壓(ya)🐪差變大(da)而變大(da),最大可(ke)能偏差(cha)150%。因此,HG/T20570可(ke)壓縮流(liu)體的💔流(liu)量系數(shu)C偏小,相(xiang)同☔孔徑(jing)下計算(suan)孔闆流(liu)通量🚶偏(pian)小。.
由此(ci),初步可(ke)以得出(chu)這樣的(de)結論:在(zai)精度不(bu)高的情(qing)況下,HG/T20570孔(kong)闆流量(liang)計算公(gong)式可用(yong)于不可(ke)壓縮流(liu)體,但在(zai)計算可(ke)壓縮流(liu)體時孔(kong)徑偏大(da)。
2.2孔闆流(liu)量計算(suan)公式
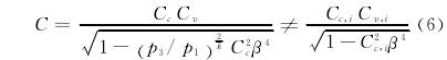
孔(kong)闆的另(ling)一個主(zhu)要應用(yong)就是作(zuo)爲流量(liang)測量的(de)一次元(yuan)💞件,因此(ci),流量計(ji)量相關(guan)領域對(dui)孔闆的(de)計算也(ye)有相當(dang)廣泛的(de)研究,其(qi)中,GB2624-2006-3]給出(chu)了标準(zhun)孔闆下(xia)的流🤩量(liang)計算公(gong)式。
2624中給(gei)出的文(wen)丘裏或(huo)噴嘴的(de)可壓縮(suo)系數是(shi)一緻的(de)‼️,這也是(shi)合理的(de),因爲在(zai)文丘裏(li)或噴嘴(zui)結構下(xia),可以認(ren)爲流體(ti)的最小(xiao)流通面(mian)㊙️積即爲(wei)喉徑的(de)面積,即(ji)C≈l。對孔闆(pan)而言,C.與(yu)C..的比值(zhi)随孔闆(pan)前後壓(ya)差變大(da)而變大(da),因此孔(kong)闆的可(ke)壓縮系(xi)數大于(yu)❌文丘裏(li)或噴嘴(zui)的可壓(ya)縮系數(shu),這🔞和式(shi)(8)的計算(suan)結果是(shi)一緻🈲的(de)。
在适用(yong)範圍内(nei),GB2624所給出(chu)的計算(suan)方法無(wu)疑是相(xiang)當正确(que)的。但🈲是(shi),對于可(ke)壓縮流(liu)體前後(hou)壓差大(da)于0.75的情(qing)況下,GB2624并(bing)沒有給(gei)出可選(xuan)‼️擇的計(ji)算方法(fa)。
2.3煉油裝(zhuang)置工藝(yi)管道安(an)裝設計(ji)手冊
煉(lian)油裝置(zhi)工藝管(guan)道安裝(zhuang)設計手(shou)冊》下冊(ce)[4]中的孔(kong)闆流量(liang)計算公(gong)式見式(shi)(11)。
對比式(shi)(11)、(7)和(1)發現(xian),該方法(fa)和GB2624的公(gong)式形式(shi)基本是(shi)一-緻的(de),主要的(de)區别在(zai)于流量(liang)系數和(he)膨脹系(xi)數的關(guan)聯公式(shi)☂️的選取(qu)。但是由(you)于流量(liang)系數和(he)膨脹系(xi)數需要(yao)查圖表(biao)得到,因(yin)此計算(suan)較爲繁(fan)瑣,不利(li)用工程(cheng)應用,本(ben)文不對(dui)該方法(fa)進行進(jin)一步.讨(tao)論。
此外(wai),式(11)對前(qian)後壓差(cha)不做限(xian)制,可用(yong)于臨界(jie)流情況(kuang),但實際(ji)上這🌈和(he)理論是(shi)違背的(de),隻是一(yi)種工程(cheng)上的簡(jian)化處理(li)辦法。
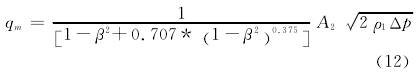
2.4Idelchik公(gong)式
Idelchik5J針對(dui)不可壓(ya)縮流體(ti)給出了(le)銳孔薄(bao)壁孔闆(pan)的流量(liang)經驗💃🏻關(guan)聯公式(shi)(12),與其他(ta)公式的(de)區别主(zhu)要在于(yu)流量系(xi)數的關(guan)聯式☀️不(bu)一樣,對(dui)于可壓(ya)縮流.體(ti),該關聯(lian)式不适(shi)用。
2.5計算(suan)結果比(bi)較分析(xi)
由于方(fang)法2.2和方(fang)法2.3在本(ben)質上是(shi)一樣的(de),而且GB2624推(tui)薦的方(fang)法顯然(ran)是更爲(wei)可靠的(de),因此主(zhu)要對比(bi)方法2.1、方(fang)法✌️2.2和方(fang)法2.4。
2.5.1不可(ke)壓縮流(liu)體
對于(yu)不可壓(ya)縮流體(ti),選取30°C水(shui)爲研究(jiu)對象,闆(pan)前壓力(li)爲6.0MPa(a),闆後(hou)壓🚶♀️力🌍爲(wei)4.8MPa(a),管道直(zhi)徑爲50mm,針(zhen)對不同(tong)孔徑比(bi),計算結(jie)果🎯見表(biao)1。
通過分(fen)析上述(shu)數據不(bu)難發現(xian),在低孔(kong)徑比的(de)情況下(xia),3個😄公🚶♀️式(shi)🐆計算結(jie)果相差(cha)不大,但(dan)是當孔(kong)徑比增(zeng)大時,式(shi)(5)計算結(jie)果⁉️有較(jiao)大偏差(cha),這與之(zhi)前理論(lun)分析的(de)🥵結果一(yi)✏️緻。此外(wai),式(11)的形(xing)式簡單(dan),工程應(ying)♌用方便(bian)。
2.5.2可壓縮(suo)流體
對(dui)于可壓(ya)縮流體(ti),選取30℃氮(dan)氣爲研(yan)究對象(xiang),闆前壓(ya)力爲6.6MPa(a),管(guan)道直🍉徑(jing)爲100mm,孔直(zhi)徑爲20mm,針(zhen)對不同(tong)壓比,計(ji)算結果(guo)見表2。
通(tong)過分析(xi)上述數(shu)據不難(nan)發現,在(zai)低壓比(bi)的情況(kuang)下,二者(zhe)計🌈算結(jie)果相差(cha)不大,但(dan)是當壓(ya)比減小(xiao)時,式(5)計(ji)算結果(guo)有較大(da)偏差,這(zhe)個與之(zhi)前理論(lun)分析的(de)結果一(yi)緻。此外(wai),雖然㊙️式(shi)(7)在壓比(bi)小于0.75的(de)情.況下(xia)不适用(yong),但是在(zai)精度要(yao)求不高(gao)的情況(kuang)下可以(yi)做小🐇範(fan)圍的外(wai)推。
3臨界(jie)壓比下(xia)孔闆的(de)流通系(xi)數
在工(gong)程應用(yong)過程中(zhong),經常會(hui)遇到可(ke)壓縮流(liu)體孔闆(pan)前後❌壓(ya)比小于(yu)或等于(yu)臨界壓(ya)比的情(qing)況,而且(qie)在對😘精(jing)度要求(qiu)不高的(de)情況下(xia),通常考(kao)慮采用(yong)單孔闆(pan)來🧑🏾🤝🧑🏼實.現(xian)。隻有式(shi)(5)和(11)對這(zhe)類情況(kuang)給出了(le)計算方(fang)法。但是(shi)通過第(di)2節的讨(tao)論不難(nan)發現,(5)的(de)計算結(jie)果存在(zai)較大偏(pian)差,因此(ci)并不适(shi)用。而仔(zai)細分析(xi)式(11)後發(fa)現,其形(xing)式☁️本身(shen)是不能(neng)用于臨(lin)界流情(qing)況的。因(yin)爲,當孔(kong)闆前後(hou)壓比小(xiao)于臨界(jie)壓比時(shi),流體.在(zai)最小流(liu)束截面(mian)處的壓(ya)力始終(zhong)爲臨界(jie)壓力,并(bing)不會随(sui)着孔闆(pan)前後壓(ya)差🔅變大(da)而降低(di),所以,雖(sui)然式(11)可(ke)以在一(yi)定程度(du)上計算(suan)臨界流(liu)的情況(kuang),但實際(ji)上隻是(shi)一種工(gong)程🌈化的(de)近似,其(qi)正确率(lü)難以确(que)定。
對于(yu)臨界流(liu),可以用(yong)一般的(de)流通方(fang)程(2)來進(jin)行描述(shu)。當發生(sheng)臨界流(liu)時,孔闆(pan)最小流(liu)束截面(mian)處的壓(ya)力恒定(ding)爲臨界(jie)壓力💯,即(ji):
當發生(sheng)臨界流(liu)時,由于(yu)流體的(de)最小流(liu)束截面(mian)積會随(sui)着前後(hou)😍壓差變(bian)大而變(bian)大,因此(ci),通過孔(kong)闆的流(liu)量✊會随(sui)着孔闆(pan)前🔞後壓(ya)🥵差變大(da)而變大(da),但是,由(you)于孔闆(pan)結構的(de)原因,其(qi)最小流(liu)動面積(ji)總會比(bi)孔闆小(xiao)孔面積(ji)小,因此(ci)Cc<1。再結合(he)Bendict[11的工作(zuo),可以🈲初(chu)步給出(chu)如下結(jie)論:①對于(yu)可壓縮(suo)流體在(zai)銳孔薄(bao)壁孔闆(pan)下,當孔(kong)闆後壓(ya)力接近(jin)大氣壓(ya),且對計(ji)算正确(que)💃🏻.性要求(qiu)不高時(shi),可以選(xuan)取Cd.=0.86,C.=0.97;②對于(yu)可壓縮(suo)流體在(zai)銳孔薄(bao)壁✌️孔闆(pan)下,當孔(kong)闆後壓(ya)力接近(jin)大氣壓(ya)時,在需(xu)要盡可(ke)能限制(zhi)流體流(liu)速、保守(shou)處理的(de)情況下(xia),可以選(xuan)🈲取Cd=1,Cv=0.97。
4結語(yu)
本文從(cong)一般的(de)單相流(liu)孔闆流(liu)通方程(cheng)出發,通(tong)過對上(shang)述📧常用(yong)的孔闆(pan)計算公(gong)式進行(hang)比較分(fen)析,并讨(tao)論了各(ge)種常用(yong)計算方(fang)法的适(shi)用範圍(wei)和局限(xian)性,可以(yi)指導在(zai)實際工(gong)程應用(yong)過程中(zhong)選取合(he)适的計(ji)算方法(fa)。具體分(fen)析結果(guo)如🏒下:①在(zai)對工🔅程(cheng)計算有(you)較正确(que)要💜求時(shi),在GB2624适用(yong)範圍内(nei),優先♈使(shi)用GB2624對孔(kong)闆進行(hang)計算;②在(zai)對工程(cheng)計算👣有(you)一定正(zheng)确率要(yao)求時,對(dui)于不可(ke)壓縮✏️流(liu)體,可以(yi)用Idelchik公式(shi)對孔闆(pan)進行簡(jian)化計算(suan);③對于前(qian)後壓差(cha)較大,或(huo)孔徑比(bi)🔞較大時(shi),不建議(yi)采用HG/T20570進(jin)行計算(suan);④對于可(ke)壓縮流(liu)體的臨(lin)界流情(qing)🐆況,可以(yi)根據煉(lian)油裝置(zhi)工藝管(guan)道安裝(zhuang)👉設計手(shou)冊公式(shi)進行試(shi)算,也可(ke)以根據(ju)本文建(jian)議的方(fang)法進行(hang)👅保守性(xing)估計。如(ru)果對孔(kong)⛷️闆流量(liang)的計算(suan)精度有(you)較高要(yao)❄️求時,建(jian)議采用(yong)多闆來(lai)逐級減(jian)✨壓。
以上(shang)内容源(yuan)于網絡(luo),如有侵(qin)權聯系(xi)即删除(chu)!