日本中文字幕在线观看轉子流量計與差壓式流量計區别-江蘇省凯祥医疗器械有限公司
                   
        首(shou)   頁  公(gong)司簡(jian)介  産(chan)品中(zhong)心  質(zhi)量體(ti)系  銷(xiao)售網(wang)絡  聯(lian)系我(wo)們
 
 
電磁(ci)流量(liang)計的(de)工作(zuo)原理(li)☂️日本中文字幕在线观看🚩
  氧化(hua)锆氧(yang)傳感(gan)器的(de)原理(li)及應(ying)用
  有(you)害氣(qi)體檢(jian)測報(bao)警儀(yi)選用(yong)原則(ze)
  我國(guo)計量(liang)用儀(yi)器儀(yi)表的(de)發展(zhan)和現(xian)狀
國(guo)内儀(yi)器儀(yi)表行(hang)業将(jiang)發生(sheng)高科(ke)....
  西安(an)交大(da)研制(zhi)出超(chao)高溫(wen)沖擊(ji)壓....
  采(cai)用半(ban)導體(ti)精密(mi)溫度(du)傳感(gan)......
  智能(neng)溫度(du)傳感(gan)器的(de)發展(zhan)趨勢(shi)
  簡述(shu)幾種(zhong)氣體(ti)檢測(ce)傳感(gan)器.....
  利(li)用傳(chuan)感器(qi)技術(shu)制造(zao)智能(neng)服裝(zhuang)
 
 
聯(lian)系方(fang)式
 電(dian)話(市(shi)場部(bu)):  
       
   (拓展(zhan)部):
 傳(chuan)真:
 節(jie)假日(ri)商務(wu)聯系(xi)電話(hua):
 何經(jing)理:
 劉(liu)經理(li):
 郵編(bian):211600
 網址(zhi):/
    http://banyunshe.cc/
     [email protected]
 地址(zhi):江蘇(su)省金(jin)湖縣(xian)工業(ye)園區(qu)環城(cheng)西
 路(lu)269号
 您(nin)現在(zai)的位(wei)置 > 首(shou)頁 > 行(hang)業新(xin)聞 > 轉(zhuan)子流(liu)量計(ji)與差(cha)壓式(shi)流量(liang)計區(qu)别

1 引(yin) 言
  轉(zhuan)子流(liu)量計(ji)差(cha)壓式(shi)流量(liang)計是(shi)工業(ye)上和(he)實驗(yan)室中(zhong)的流(liu)量計(ji). 雖然(ran)都是(shi)測量(liang)流量(liang)的儀(yi)表,但(dan)是其(qi)原理(li)卻大(da)相徑(jing)庭,其(qi)流量(liang)基本(ben)方程(cheng)的推(tui)導也(ye)不相(xiang)同,因(yin)此,導(dao)緻儀(yi)表的(de)特點(dian)和适(shi)用📞場(chang)合也(ye)有所(suo)區别(bie) .
2 流量(liang)計組(zu)成與(yu)流量(liang)測量(liang)原理(li)
2.1 轉子(zi)流量(liang)計
  轉(zhuan)子流(liu)量計(ji),是由(you)一個(ge)自下(xia)往上(shang)逐漸(jian)擴大(da)的帶(dai)刻💃度(du)的錐(zhui)形管(guan)㊙️和一(yi)個置(zhi)于錐(zhui)形管(guan)内可(ke)以自(zi)由上(shang)下移(yi)動的(de)轉子(zi)構成(cheng). 工作(zuo)時,被(bei)測流(liu)體由(you)錐形(xing)管下(xia)端進(jin)入,沿(yan)着錐(zhui)形💰管(guan)向上(shang)運動(dong),流過(guo)轉子(zi)與錐(zhui)形管(guan)之間(jian)的環(huan)隙,再(zai)從錐(zhui)形管(guan)上端(duan)流出(chu) . 受流(liu)動流(liu)體帶(dai)動💃🏻作(zuo)用,轉(zhuan)子受(shou)到一(yi)個自(zi)下向(xiang)上流(liu)體對(dui)轉子(zi)的動(dong)壓力(li),正好(hao)等于(yu)轉子(zi)在被(bei)測流(liu)體中(zhong)的重(zhong)力(即(ji)轉子(zi)自身(shen)的重(zhong)力減(jian)去流(liu)☀️體對(dui)轉子(zi)的浮(fu)力).
轉(zhuan)子流(liu)量計(ji)工作(zuo)原理(li)圖
  垂(chui)直安(an)裝流(liu)量計(ji)時,轉(zhuan)子重(zhong)心就(jiu)在錐(zhui)形管(guan)中心(xin)軸線(xian)上,轉(zhuan)子所(suo)受的(de)三個(ge)力都(dou)平行(hang)于中(zhong)心軸(zhou)線 . 當(dang)受力(li)平衡(heng)時,轉(zhuan)子就(jiu)穩定(ding)在⁉️錐(zhui)管内(nei)某一(yi)位置(zhi)上 . 對(dui)于👅給(gei)定的(de)🤟轉子(zi)流量(liang)計,轉(zhuan)子的(de)材料(liao)、大小(xiao)和形(xing)狀都(dou)可确(que)定,所(suo)以轉(zhuan)子在(zai)被測(ce)流體(ti)中⚽的(de)重力(li)是已(yi)知的(de),隻有(you)流體(ti)對轉(zhuan)子的(de)動壓(ya)力是(shi)随流(liu)體流(liu)速大(da)小而(er)變化(hua)的 . 因(yin)此當(dang)流體(ti)流速(su)變大(da)或變(bian)小時(shi),轉子(zi)受到(dao)的動(dong)壓力(li)增大(da)或減(jian)🌈小,轉(zhuan)子将(jiang)作向(xiang)上或(huo)向下(xia)的移(yi)動,轉(zhuan)子與(yu)錐形(xing)管壁(bi)之間(jian)的環(huan)隙面(mian)積也(ye)發生(sheng)變化(hua),即流(liu)動截(jie)面積(ji)也發(fa)生變(bian)⁉️化,待(dai)變化(hua)到某(mou)一流(liu)速轉(zhuan)子受(shou)力平(ping)衡時(shi),轉子(zi)就穩(wen)定在(zai)新的(de)位置(zhi)上 . 對(dui)于一(yi)台🍉給(gei)定的(de)轉子(zi)流量(liang)計,轉(zhuan)子♌在(zai)✊錐管(guan)中平(ping)衡位(wei)置的(de)高低(di)反應(ying)了被(bei)測流(liu)體流(liu)經⭐錐(zhui)形管(guan)的流(liu)量大(da)小 .
2.2 差(cha)壓式(shi)流量(liang)計
  差(cha)壓式(shi)流量(liang)計由(you)三部(bu)分組(zu)成,即(ji)由節(jie)流裝(zhuang)置、導(dao)壓管(guan)和差(cha)壓計(ji) . 差壓(ya)式流(liu)量計(ji)是利(li)用流(liu)體流(liu)動的(de)節🏃🏻‍♂️流(liu)原理(li)來實(shi)現流(liu)量🍉測(ce)量的(de).節流(liu)原理(li)是流(liu)體在(zai)有節(jie)流裝(zhuang)置的(de)管道(dao)中流(liu)動時(shi),在節(jie)流裝(zhuang)置前(qian)後的(de)管壁(bi)處,流(liu)體的(de)靜壓(ya)力産(chan)生差(cha)異🏒的(de)現象(xiang) .
  流動(dong)流體(ti)的能(neng)量有(you)靜壓(ya)能和(he)動能(neng)兩種(zhong)形式(shi).流體(ti)具有(you)靜壓(ya)能是(shi)因爲(wei)有壓(ya)力,具(ju)有動(dong)能是(shi)因爲(wei)有流(liu)動速(su)度,在(zai)一定(ding)💃條件(jian)下,這(zhe)㊙️兩種(zhong)形式(shi)的能(neng)量是(shi)可以(yi)相互(hu)轉化(hua) . 根據(ju)能量(liang)守👨‍❤️‍👨恒(heng)定律(lü),在沒(mei)有外(wai)加能(neng)量的(de)前提(ti)下,流(liu)體所(suo)具有(you)☂️的靜(jing)壓能(neng)和動(dong)能,再(zai)加上(shang)用以(yi)克服(fu)流體(ti)流動(dong)阻力(li)的能(neng)量損(sun)失,其(qi)能量(liang)總和(he)是相(xiang)等的(de) . 圖 2 表(biao)示在(zai)節流(liu)裝置(zhi)前後(hou)截面(mian)Ⅰ、Ⅱ及Ⅲ處(chu)流體(ti)壓力(li)與速(su)度的(de)分布(bu)情況(kuang) .  流體(ti)✉️在到(dao)達截(jie)面Ⅰ之(zhi)前,以(yi)一定(ding)的流(liu)速 v1流(liu)動,此(ci)時靜(jing)🌍壓力(li)爲 p1. 在(zai)接近(jin)節流(liu)裝置(zhi)時,由(you)于遇(yu)到節(jie)流裝(zhuang)置的(de)阻礙(ai),使靠(kao)近管(guan)壁處(chu)的流(liu)體受(shou)㊙️到節(jie)流裝(zhuang)置的(de)阻擋(dang)作用(yong),使部(bu)分動(dong)能轉(zhuan)🎯化爲(wei)靜壓(ya)能,使(shi)得節(jie)流裝(zhuang)置入(ru)口端(duan)面♊靠(kao)近管(guan)壁處(chu)的流(liu)體靜(jing)壓力(li)升高(gao),并且(qie)遠大(da)于管(guan)徑中(zhong)心處(chu)的壓(ya)力,因(yin)此節(jie)流裝(zhuang)置入(ru)口端(duan)面處(chu)産生(sheng)一徑(jing)向🆚壓(ya)差🔱 . 在(zai)☁️徑向(xiang)壓差(cha)的作(zuo)用下(xia),流體(ti)産生(sheng)徑向(xiang)加速(su)度,從(cong)而使(shi)靠近(jin)管壁(bi)🏒處的(de)流體(ti)質點(dian)的流(liu)動方(fang)向傾(qing)斜于(yu)管道(dao)中心(xin)軸線(xian),出現(xian)縮脈(mo)現象(xiang).由于(yu)受到(dao)慣性(xing)作用(yong),流束(shu)的最(zui)小截(jie)面并(bing)不在(zai)節✨流(liu)裝置(zhi)的孔(kong)☂️口處(chu),而是(shi)經過(guo)節流(liu)裝置(zhi)之後(hou)仍繼(ji)續收(shou)縮,到(dao)截面(mian)Ⅱ處流(liu)束達(da)🐅到💃最(zui)小,此(ci)時流(liu)速最(zui)大,即(ji) v2,之後(hou)流束(shu)又逐(zhu)漸🈚擴(kuo)大,至(zhi)截面(mian)Ⅲ後完(wan)全恢(hui)🌈複,流(liu)速逐(zhu)漸降(jiang)到原(yuan)值,即(ji) v3=v1.
  由于(yu)節流(liu)裝置(zhi)産生(sheng)流束(shu)的局(ju)部收(shou)縮現(xian)象,使(shi)流體(ti)的流(liu)速随(sui)⛹🏻‍♀️之變(bian)化,即(ji)動能(neng)也跟(gen)着變(bian)化 . 根(gen)據能(neng)量守(shou)恒定(ding)✂️律,表(biao)征流(liu)🐉體靜(jing)壓能(neng)的靜(jing)壓力(li)也要(yao)變化(hua) . 在截(jie)面Ⅰ處(chu),流體(ti)具有(you)靜壓(ya)力🌈 p1. 在(zai)截面(mian)Ⅱ處,流(liu)速增(zeng)到最(zui)大 v2,靜(jing)壓力(li)就降(jiang)到最(zui)小 p2,而(er)後又(you)随着(zhe)流束(shu)的恢(hui)複而(er)恢複(fu)💘 . 由于(yu)在節(jie)流裝(zhuang)置端(duan)面處(chu)流通(tong)面突(tu)然縮(suo)小,而(er)節流(liu)⭕裝置(zhi)之後(hou)流通(tong)面積(ji)突然(ran)又擴(kuo)✔️大,使(shi)流體(ti)形成(cheng)局部(bu)渦流(liu),部分(fen)能量(liang)被消(xiao)耗,同(tong)時流(liu)體流(liu)經孔(kong)闆時(shi),爲克(ke)服摩(mo)擦力(li)也需(xu)消耗(hao)能量(liang),所以(yi)流體(ti)在截(jie)面Ⅲ處(chu)的靜(jing)壓力(li) p3不能(neng)恢複(fu)到原(yuan)值 p1,而(er)産生(sheng)永久(jiu)的壓(ya)力損(sun)👨‍❤️‍👨失. 截(jie)面Ⅰ與(yu)Ⅱ處的(de)壓差(cha)(δp=p1- p2)與流(liu)體在(zai)節流(liu)裝置(zhi)前的(de)👣流量(liang)有一(yi)一對(dui)應關(guan)系,隻(zhi)要測(ce)出節(jie)🧑🏽‍🤝‍🧑🏻流裝(zhuang)置前(qian)後的(de)壓差(cha)大小(xiao)🏃🏻即可(ke)表示(shi)流量(liang)大小(xiao) .
節流(liu)裝置(zhi)及壓(ya)力、流(liu)速分(fen)布圖(tu)
2.3 總結(jie)
  轉子(zi)流量(liang)計與(yu)差壓(ya)式流(liu)量計(ji)在工(gong)作原(yuan)理上(shang)是不(bu)相同(tong)的 . 轉(zhuan)子式(shi)流量(liang)計,是(shi)在節(jie)流面(mian)積(如(ru)孔闆(pan)流通(tong)面積(ji)👌)不變(bian)的條(tiao)件下(xia),以差(cha)壓變(bian)化來(lai)反映(ying)流量(liang)的大(da)小;而(er)差壓(ya)式流(liu)量計(ji),卻是(shi)以壓(ya)降不(bu)變,利(li)用節(jie)流面(mian)積的(de)變化(hua)來測(ce)量流(liu)量的(de)大小(xiao).即轉(zhuan)子流(liu)量計(ji)的測(ce)量原(yuan)理可(ke)以簡(jian)化爲(wei):恒壓(ya)降、變(bian)節流(liu);差壓(ya)式流(liu)量計(ji)💋的測(ce)量原(yuan)理簡(jian)化爲(wei):變壓(ya)降、恒(heng)💘節流(liu) .
3 流量(liang)方程(cheng)推導(dao)
3.1 轉子(zi)流量(liang)計
  轉(zhuan)子流(liu)量計(ji)中當(dang)轉子(zi)穩定(ding)時,對(dui)轉子(zi)進行(hang)受力(li)分析(xi):

  其中(zhong):ρt爲轉(zhuan)子的(de)密度(du);ρf爲流(liu)體的(de)密度(du);V 爲轉(zhuan)子的(de)體積(ji);Δp 爲轉(zhuan)子🐕前(qian)後的(de)壓差(cha)(常數(shu));A 爲轉(zhuan)子的(de)最大(da)截面(mian)積 .
  轉(zhuan)子和(he)錐形(xing)管間(jian)的環(huan)隙面(mian)積相(xiang)當于(yu)節流(liu)式流(liu)量計(ji)的節(jie)流面(mian)積,但(dan)它是(shi)變化(hua)的,并(bing)與轉(zhuan)子高(gao)度 h成(cheng)近似(si)的線(xian)性關(guan)系,因(yin)此😍,轉(zhuan)子♋流(liu)量計(ji)的流(liu)量可(ke)以表(biao)示爲(wei):

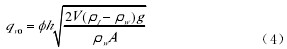
  式中(zhong),ф 爲儀(yi)表常(chang)數;h 爲(wei)轉子(zi)浮起(qi)的高(gao)度 .由(you)于轉(zhuan)子流(liu)量計(ji)在生(sheng)産中(zhong)進行(hang)刻度(du)的時(shi)候,通(tong)常選(xuan)擇在(zai)工業(ye)基準(zhun)狀态(tai)(20℃,0.10133Mpa)下用(yong)⛷️水或(huo)者空(kong)氣進(jin)行标(biao)定的(de) . 所以(yi),在實(shi)際使(shi)用✊時(shi),如果(guo)被測(ce)介質(zhi)的密(mi)度和(he)工🔴作(zuo)狀态(tai)與刻(ke)度時(shi)的不(bu)一緻(zhi),就必(bi)須對(dui)流量(liang)指示(shi)值按(an)照實(shi)際被(bei)💛測介(jie)質的(de)密度(du)、溫度(du)、壓力(li)等參(can)數的(de)具體(ti)情況(kuang)進行(hang)修正(zheng).
①液體(ti)流量(liang)測量(liang)時的(de)修正(zheng)
  由于(yu)測量(liang)液體(ti)的轉(zhuan)子流(liu)量計(ji)是在(zai)常溫(wen) 20℃下用(yong)水标(biao)定的(de),根據(ju)式👌(1)可(ke)寫爲(wei):

  式中(zhong),qv0爲用(yong)水标(biao)定時(shi)的流(liu)量刻(ke)度;ρw是(shi)水的(de)密度(du) .
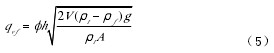
  如果(guo)被測(ce)介質(zhi)不是(shi)水,則(ze)需要(yao)對流(liu)量刻(ke)度進(jin)行重(zhong)新修(xiu)正.如(ru)果被(bei)測介(jie)質的(de)黏度(du)和水(shui)的黏(nian)度相(xiang)差不(bu)大,可(ke)以近(jin)🆚似認(ren)🐕爲 ф 是(shi)常數(shu),有

  式(shi)中,qvf爲(wei)被測(ce)介質(zhi)的實(shi)際流(liu)量;ρf是(shi)被測(ce)介質(zhi)的密(mi)度 .
  式(shi)(5)和式(shi)(4)相除(chu),整理(li)後得(de):

②氣體(ti)流量(liang)測量(liang)時的(de)修正(zheng)
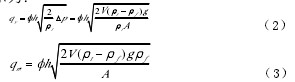
  當采(cai)用轉(zhuan)子流(liu)量計(ji)進行(hang)氣體(ti)流量(liang)測量(liang)時,對(dui)其流(liu)量值(zhi)🈲也要(yao)進行(hang)修正(zheng),除了(le)被測(ce)介質(zhi)的密(mi)度進(jin)行修(xiu)正之(zhi)外,還(hai)🈲需要(yao)⛹🏻‍♀️對被(bei)測介(jie)質的(de)工作(zuo)溫度(du)和壓(ya)力進(jin)行修(xiu)正 . 當(dang)已知(zhi)💯儀表(biao)的⛷️顯(xian)示刻(ke)度爲(wei) qv0,則被(bei)測介(jie)質的(de)實際(ji)流量(liang)(工業(ye)基準(zhun)狀态(tai))可按(an)下式(shi)修正(zheng),即:

  式(shi)中,qvf爲(wei)被測(ce)介質(zhi)的實(shi)際流(liu)量;ρ0和(he) ρf是空(kong)氣和(he)被測(ce)介質(zhi)在标(biao)💃🏻準狀(zhuang)态下(xia)的密(mi)度;Pf和(he) Tf分别(bie)爲被(bei)測介(jie)質的(de)絕對(dui)壓力(li)和熱(re)力學(xue)溫度(du);P0和T0分(fen)别爲(wei)标準(zhun)狀态(tai)下的(de)絕對(dui)壓力(li)和熱(re)力😘學(xue)溫度(du)(P0=0.10133Mpa,T0=293K);qv0爲刻(ke)度流(liu)量值(zhi)。
3.2 差壓(ya)式流(liu)量計(ji)
  流體(ti)流經(jing)節流(liu)裝置(zhi)時,不(bu)對外(wai)做功(gong),沒有(you)外加(jia)能量(liang),流⭕體(ti)🔞本身(shen)也沒(mei)有溫(wen)度變(bian)化 . 在(zai)管道(dao)内流(liu)動的(de)流體(ti),對于(yu)管道(dao)中任(ren)意兩(liang)個截(jie)面都(dou)符合(he)伯努(nu)利方(fang)程,現(xian)選截(jie)面💯Ⅰ和(he)Ⅱ(見圖(tu) 2)進行(hang)分析(xi)。
流體(ti)的伯(bo)努利(li)方程(cheng):

  從上(shang)式可(ke)以看(kan)出:流(liu)量與(yu)壓力(li)差 ΔP 的(de)平方(fang)根成(cheng)正比(bi) .
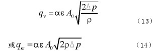
  對于(yu)可壓(ya)縮流(liu)體流(liu)量監(jian)測,因(yin)其易(yi)發生(sheng)體積(ji)變化(hua),所🐉以(yi)在🌍流(liu)🤩量方(fang)程中(zhong)要引(yin)入膨(peng)脹系(xi)數 ε,則(ze)流量(liang)基本(ben)方程(cheng)可寫(xie)爲:

  式(shi)中:qv、qm分(fen)别爲(wei)被測(ce)介質(zhi)的體(ti)積流(liu)量和(he)質量(liang)流量(liang);A0節流(liu)裝置(zhi)的開(kai)孔截(jie)面積(ji);ρ 節流(liu)裝置(zhi)前的(de)流體(ti)密度(du) .
  式(13)、(14)爲(wei)節流(liu)式流(liu)量計(ji)的流(liu)量方(fang)程,即(ji)壓差(cha)和流(liu)量間(jian)的定(ding)量📐關(guan)系 .
  由(you)流量(liang)基本(ben)方程(cheng)可以(yi)看出(chu),在其(qi)他條(tiao)件不(bu)變的(de)前提(ti)下,流(liu)量與(yu)壓差(cha)的平(ping)方根(gen)成正(zheng)比,要(yao)知道(dao)流量(liang)與壓(ya)力差(cha)的真(zhen)實關(guan)系,關(guan)鍵在(zai)于 α 的(de)取值(zhi) .α 是受(shou)許多(duo)因素(su)影響(xiang)的綜(zong)合性(xing)系數(shu),對于(yu)标準(zhun)節流(liu)裝置(zhi),其值(zhi)可以(yi)從有(you)關手(shou)冊中(zhong)查出(chu);對于(yu)非☎️标(biao)準節(jie)流裝(zhuang)置,其(qi)值主(zhu)要由(you)實驗(yan)方法(fa)得到(dao) .
3.3 總結(jie)
  兩種(zhong)流量(liang)計依(yi)據的(de)原理(li)不同(tong),得到(dao)的流(liu)量方(fang)程截(jie)然不(bu)同 . 轉(zhuan)子流(liu)量計(ji)的流(liu)量基(ji)本方(fang)程主(zhu)要是(shi)根據(ju)轉子(zi)受力(li)平衡(heng)進行(hang)推導(dao)而得(de)到的(de),而差(cha)壓式(shi)流量(liang)計的(de)流量(liang)基本(ben)方程(cheng)主要(yao)是根(gen)👣據伯(bo)努利(li)方程(cheng)和流(liu)✔️體連(lian)續性(xing)方程(cheng)進行(hang)推導(dao)而得(de)到的(de) .
4 流量(liang)計的(de)特點(dian)
4.1 轉子(zi)流量(liang)計
  轉(zhuan)子流(liu)量計(ji)用以(yi)測量(liang)單相(xiang)非脈(mo)動流(liu)體(液(ye)體或(huo)氣體(ti)🎯 ) 的流(liu)量,廣(guang)泛應(ying)用于(yu)化工(gong)、石油(you)、輕工(gong)、醫藥(yao)、環保(bao)、食品(pin)及計(ji)量測(ce)試、科(ke)學研(yan)究♍等(deng)部門(men) .
4.1.1 轉子(zi)流量(liang)計的(de)優點(dian) :
① 轉子(zi)流量(liang)計适(shi)用于(yu)小管(guan)徑和(he)低流(liu)速 . 常(chang)用轉(zhuan)子流(liu)量🎯計(ji)口徑(jing)🔞在 40-50mm 以(yi)下,最(zui)小口(kou)徑可(ke)達1.5-4mm. 在(zai)測量(liang)液體(ti)流速(su)時,口(kou)徑 10mm 以(yi)下玻(bo)璃管(guan)轉子(zi)流量(liang)計徑(jing),流速(su)隻在(zai)0.2-0.6m/s之間(jian),甚至(zhi)低于(yu) 0.1m/s;金屬(shu)管轉(zhuan)子♌流(liu)量計(ji)和口(kou)徑大(da)于 15mm的(de)玻璃(li)管轉(zhuan)子流(liu)量計(ji),流速(su)㊙️在 0.5-1.5m/s 之(zhi)間 .
② 轉(zhuan)子流(liu)量計(ji)可用(yong)于較(jiao)低雷(lei)諾數(shu),在轉(zhuan)子與(yu)管壁(bi)的🥵環(huan)🥵隙處(chu)流🈲動(dong)的流(liu)體雷(lei)諾數(shu)隻要(yao)大于(yu) 40 或500,即(ji)使雷(lei)諾數(shu)變化(hua)流量(liang)系數(shu)也要(yao)保持(chi)常數(shu),即流(liu)體粘(zhan)度對(dui)流🧡量(liang)系數(shu)無影(ying)響㊙️.這(zhe)數值(zhi)🔴遠低(di)于節(jie)流差(cha)壓式(shi)儀表(biao)最低(di)雷諾(nuo)數 104-105 的(de)要求(qiu) .
③ 大部(bu)分轉(zhuan)子流(liu)量計(ji)沒有(you)上遊(you)直管(guan)段要(yao)求,對(dui)安裝(zhuang)條件(jian)要求(qiu)較低(di) .
④ 轉子(zi)流量(liang)計流(liu)量測(ce)量範(fan)圍較(jiao)廣,一(yi)般爲(wei)10:1,最低(di)爲 5:1,最(zui)高🔅爲(wei) 25:1.
⑤ 與節(jie)流式(shi)流量(liang)計相(xiang)比,轉(zhuan)子流(liu)量計(ji)壓力(li)損失(shi)較低(di) .
⑥ 玻璃(li)管轉(zhuan)子流(liu)量計(ji)結構(gou)簡單(dan),價格(ge)低廉(lian),使用(yong)方便(bian) .
4.1.2 轉子(zi)流量(liang)計的(de)缺點(dian):
① 轉子(zi)流量(liang)計用(yong)來檢(jian)測的(de)流體(ti),若與(yu)出廠(chang)标定(ding)時使(shi)用的(de)流體(ti)不同(tong),則需(xu)作流(liu)量示(shi)值修(xiu)正 . 測(ce)量液(ye)體的(de)轉子(zi)流量(liang)計通(tong)常以(yi)水标(biao)定,氣(qi)體用(yong)空氣(qi)标定(ding),如實(shi)際使(shi)用流(liu)體密(mi)度、粘(zhan)度與(yu)之不(bu)同,流(liu)量💛要(yao)偏離(li)原分(fen)度值(zhi),要作(zuo)換算(suan)修正(zheng) . 因此(ci),測量(liang)精度(du)受流(liu)🐆體物(wu)理參(can)數變(bian)化的(de)影響(xiang) .
玻璃(li)轉子(zi)流量(liang)計因(yin)爲有(you)玻璃(li)管,所(suo)以存(cun)在易(yi)碎的(de)風險(xian),尤其(qi)是用(yong)來檢(jian)🚩測氣(qi)體流(liu)量的(de)無導(dao)向結(jie)構轉(zhuan)子 .
③ 大(da)部分(fen)結構(gou)轉子(zi)流量(liang)計隻(zhi)能用(yong)于自(zi)下向(xiang)上垂(chui)直💋流(liu)的🥵管(guan)道安(an)裝 .
④ 轉(zhuan)子流(liu)量計(ji)應用(yong)僅适(shi)合于(yu)于中(zhong)小管(guan)徑,普(pu)通全(quan)流型(xing)轉子(zi)流量(liang)計不(bu)适用(yong)于大(da)管徑(jing),玻璃(li)管轉(zhuan)子流(liu)量計(ji)适🚩用(yong)的最(zui)大口(kou)徑爲(wei) 150mm,金屬(shu)轉子(zi)流量(liang)計适(shi)用的(de)最大(da)口徑(jing)爲 200mm.
4.2 差(cha)壓式(shi)流量(liang)計
  差(cha)壓式(shi)流量(liang)計應(ying)用廣(guang)泛、曆(li)史悠(you)久,在(zai)各類(lei)流量(liang)儀表(biao)中其(qi)使用(yong)量大(da). 近來(lai),各種(zhong)新型(xing)流量(liang)計的(de)出現(xian),緻使(shi)它⁉️的(de)用量(liang)有所(suo)下降(jiang),但差(cha)壓式(shi)流量(liang)計目(mu)前仍(reng)在整(zheng)個流(liu)量計(ji)量領(ling)域起(qi)㊙️着作(zuo)用,廣(guang)泛應(ying)用于(yu)石油(you)、化工(gong)、冶金(jin)、電力(li)、輕工(gong)等各(ge)部門(men) .
4.2.1 差壓(ya)式流(liu)量計(ji)的優(you)點:
① 标(biao)準差(cha)壓式(shi)流量(liang)計應(ying)用廣(guang)泛,結(jie)構簡(jian)單牢(lao)固,性(xing)能穩(wen)定可(ke)👄靠,使(shi)用壽(shou)命長(zhang),安裝(zhuang)方便(bian),适用(yong)于大(da)流量(liang)的測(ce)量 .
② 标(biao)準節(jie)流裝(zhuang)置适(shi)用于(yu)測量(liang)管道(dao)直徑(jing)大于(yu)50mm,雷諾(nuo)數🎯在(zai)指數(shu) 104-105以上(shang),流體(ti)應當(dang)清潔(jie)且充(chong)滿全(quan)部管(guan)道,同(tong)時不(bu)發生(sheng)相🏃🏻變(bian) .
4.2.2 差壓(ya)式流(liu)量計(ji)的缺(que)點:
① 差(cha)壓式(shi)流量(liang)計的(de)測量(liang)精度(du)偏低(di),測量(liang)的重(zhong)複性(xing)、精度(du)在流(liu)量計(ji)中處(chu)于中(zhong)等水(shui)平,由(you)于各(ge)種因(yin)素的(de)綜🧡合(he)影響(xiang),其🏃🏻‍♂️精(jing)度難(nan)以提(ti)高 .
② 流(liu)量測(ce)量範(fan)圍度(du)窄,由(you)于流(liu)量與(yu)儀表(biao)信号(hao)( 差壓(ya) ) 的平(ping)❓方根(gen)🥰成♊正(zheng)比關(guan)系,範(fan)圍度(du)一般(ban)僅 3:1-4:1.
③ 現(xian)場安(an)裝條(tiao)件要(yao)求較(jiao)高,爲(wei)保證(zheng)流體(ti)在節(jie)流裝(zhuang)置前(qian)後爲(wei)穩定(ding)的流(liu)動狀(zhuang)态,在(zai)節流(liu)裝置(zhi)的上(shang)、下遊(you)必須(xu)配置(zhi)一定(ding)長度(du)的直(zhi)管🌍段(duan) (指孔(kong)闆,噴(pen)嘴),一(yi)般難(nan)以滿(man)足 .
④ 差(cha)壓式(shi)流量(liang)計的(de)壓損(sun)較大(da),孔闆(pan)流量(liang)計的(de)壓損(sun)最大(da),噴✊嘴(zui)流量(liang)計次(ci)之,文(wen)丘裏(li)管流(liu)量計(ji)最小(xiao),當不(bu)允‼️許(xu)有較(jiao)大的(de)管道(dao)壓損(sun)時,不(bu)宜采(cai)用 .
⑤ 檢(jian)測件(jian)與差(cha)壓顯(xian)示儀(yi)表之(zhi)間的(de)引壓(ya)管線(xian)容易(yi)産生(sheng)洩漏(lou)、堵💞塞(sai)、凍結(jie)及信(xin)号失(shi)真等(deng)故障(zhang) .
4.3 總結(jie)
  差壓(ya)式流(liu)量計(ji)僅适(shi)用于(yu)測量(liang)管道(dao)直徑(jing)大于(yu)50mm,雷諾(nuo)數在(zai)指數(shu) 104-105以上(shang)的流(liu)體,而(er)轉子(zi)流量(liang)計适(shi)用于(yu)小管(guan)徑、低(di)流速(su)、較低(di)雷諾(nuo)數的(de)流速(su)測量(liang) . 差壓(ya)式流(liu)量計(ji) ( 指孔(kong)闆,噴(pen)嘴 ),爲(wei)保證(zheng)流體(ti)在節(jie)流裝(zhuang)置前(qian)後爲(wei)穩定(ding)🧑🏾‍🤝‍🧑🏼的流(liu)動狀(zhuang)态,需(xu)在節(jie)流裝(zhuang)置的(de)上、下(xia)遊必(bi)須配(pei)置一(yi)定長(zhang)度的(de)直管(guan)段,而(er)轉子(zi)流量(liang)計對(dui)上遊(you)直管(guan)段要(yao)求不(bu)高,其(qi)現場(chang)㊙️安裝(zhuang)條件(jian)要求(qiu)較低(di). 差壓(ya)式流(liu)量計(ji)的壓(ya)損較(jiao)🏃‍♀️大,而(er)轉子(zi)流量(liang)🏃🏻計壓(ya)力損(sun)失較(jiao)低 .
5 結(jie) 論
  從(cong)對轉(zhuan)子流(liu)量計(ji)與差(cha)壓式(shi)流量(liang)計工(gong)作原(yuan)理的(de)分👌析(xi)👄、流量(liang)基本(ben)方程(cheng)的推(tui)導及(ji)優缺(que)點分(fen)析中(zhong)得到(dao)如下(xia)體會(hui):
  轉子(zi)流量(liang)計是(shi)一種(zhong)恒壓(ya)降、變(bian)節流(liu)面積(ji)的流(liu)量儀(yi)表,轉(zhuan)子流(liu)量🔞計(ji)在出(chu)廠前(qian)是在(zai)工業(ye)基準(zhun)狀态(tai)(20℃,0.10133Mpa)下用(yong)❌水或(huo)者空(kong)氣進(jin)❗行刻(ke)度的(de),其流(liu)量基(ji)本方(fang)程在(zai)使用(yong)時需(xu)進行(hang)修正(zheng),适用(yong)于小(xiao)管徑(jing)、低流(liu)速和(he)低雷(lei)諾數(shu)㊙️,壓力(li)損失(shi)較小(xiao) .
  差壓(ya)式流(liu)量計(ji)是一(yi)種恒(heng)節流(liu)、變壓(ya)降的(de)流量(liang)儀表(biao),由流(liu)量✍️基(ji)本方(fang)程可(ke)以看(kan)出,在(zai)流量(liang)系數(shu)、膨脹(zhang)系數(shu)及節(jie)流面(mian)積不(bu)變的(de)前提(ti)下,流(liu)量與(yu)壓差(cha)的平(ping)方根(gen)成正(zheng)比,該(gai)壓力(li)計應(ying)用廣(guang)泛,結(jie)構簡(jian)單牢(lao)固,性(xing)能穩(wen)👨‍❤️‍👨定可(ke)靠,使(shi)用壽(shou)命長(zhang)⁉️,安裝(zhuang)方便(bian),适用(yong)于大(da)流量(liang)的測(ce)🏃‍♂️量,壓(ya)損較(jiao)大 .
  在(zai)化工(gong)生産(chan)中使(shi)用時(shi)應根(gen)據現(xian)場要(yao)求,再(zai)結合(he)各💋儀(yi)💋表🈲的(de)特☁️點(dian),選擇(ze)使用(yong)哪種(zhong)流量(liang)計來(lai)進行(hang)測量(liang) .

以上(shang)内容(rong)來源(yuan)于網(wang)絡,如(ru)有侵(qin)權請(qing)聯系(xi)即删(shan)除!

下(xia)篇文(wen)章:液(ye)體流(liu)量計(ji)檢定(ding)系統(tong)自動(dong)化實(shi)現 上(shang)篇文(wen)章金(jin)屬轉(zhuan)子流(liu)量計(ji)原理(li)與應(ying)用特(te)性
 版(ban)權所(suo)有:江(jiang)蘇省(sheng)凯祥医疗器械有限公司       技術(shu)支持(chi)易品(pin)網絡(luo)

· ·