凹凸精品熟女在线观看 流量計現場在線計量校準方法-江蘇省凯祥医疗器械有限公司
;                  
                   
      首   頁│  公司(si)簡介  産品(pin)中心  質量(liang)體系  銷售(shou)網絡  聯系(xi)我們
 
  溫度(du)儀表系列(lie)
  校驗儀表(biao)系列
  顯示(shi)儀表系列(lie)
  變送器儀(yi)表系列
  電(dian)線電纜系(xi)列
 
  🤩凹凸精品熟女在线观看🔴 電磁流(liu)量計的工(gong)作原理
  氧(yang)化锆氧傳(chuan)感器的原(yuan)理及應用(yong)
  有害氣體(ti)檢測報警(jing)儀選用原(yuan)則
  我國計(ji)量用儀器(qi)儀表的發(fa)展和現狀(zhuang)
  國内儀器(qi)儀表行業(ye)将發生高(gao)科....
西安交(jiao)大研制出(chu)超高溫沖(chong)擊壓....
  智能溫(wen)度傳感器(qi)的發展趨(qu)勢
簡述幾(ji)種氣體檢(jian)測傳感器(qi).....
 
  新型傳(chuan)感器監控(kong)魚群數量(liang)
   
 
       
        
   (拓展部(bu)):
 傳真:
 節假(jia)日商務聯(lian)系電話:
 何(he)經理:
 劉經(jing)理:
 郵編:211600
 網(wang)址:/
    http://banyunshe.cc/
     [email protected]
 地址:江(jiang)蘇省金湖(hu)縣工業園(yuan)區環城西(xi)
 路269号
 您現(xian)在的位置(zhi) > 首頁 > 行業(ye)新聞 > 流量(liang)計現場在(zai)線計量校(xiao)準方法
     

摘要:針對(dui)水量計量(liang)流量計 無(wu)法離線送(song)檢的情況(kuang),流量計一(yi)在其他行(hang)業的在線(xian)校準方法(fa)、國内外研(yan)究現狀及(ji)應用前景(jing),分析了🛀🏻現(xian)場校準🥵方(fang)法與裝置(zhi)的基本原(yuan)理和特點(dian)。利用 便攜(xie)式超聲流(liu)量計 準确(que)度高、安裝(zhuang)方便的特(te)點,提出了(le)基于現場(chang)比對方法(fa)用于水利(li)行業開展(zhan)校準技術(shu)研究,并重(zhong)點闡述便(bian)攜式超聲(sheng)📧流量計用(yong)🐉于液體流(liu)量計實流(liu)在線校準(zhun)的技術要(yao)求、測量過(guo)程和計算(suan)方法r可爲(wei)今後有效(xiao)開展計量(liang)校準工作(zuo)提供切實(shi)可靠㊙️的基(ji)礎。
1流量計(ji)的計量與(yu)校準
  水量(liang)計量是進(jin)行水資源(yuan)宏觀調控(kong)和微觀管(guan)理的🐆重要(yao)♻️基礎性技(ji)術措施,但(dan)以往水利(li)行業計量(liang)工作🤞基礎(chu)薄弱,涉及(ji)水量計量(liang)的有關技(ji)術标準、标(biao)準化裝置(zhi)、量值傳遞(di)🧡和溯源問(wen)題十分突(tu)出。我國擁(yong)有大量的(de)流量計測(ce)儀器,而普(pu)遍缺少校(xiao)準設備,尤(you)其是💋管道(dao)流量計的(de)在線校準(zhun)❓與檢定規(gui)程在水利(li)行業🈲還是(shi)一個空白(bai),計量的正(zheng)确率問題(ti)PR待解決。根(gen)據國家強(qiang)制性标準(zhun)《用🍓能單位(wei)能源計量(liang)器具配備(bei)和管理通(tong)則》(GB17167-2006)的要求(qiu)及相關的(de)計量法規(gui),作爲🎯結算(suan)的流量計(ji),都需要進(jin)行周期檢(jian)定。但是,法(fa)規中的檢(jian)定周期并(bing)不能保證(zheng)在用流量(liang)計的正确(que)率。由于使(shi)用場合和(he)介質的複(fu)雜性,很多(duo)流量計還(hai)沒有到檢(jian)定周期就(jiu)已經超差(cha),因此需要(yao)通過采♋用(yong)現場校準(zhun)的核查方(fang)式來保證(zheng)流量計量(liang)的正确率(lü)。
  校準(calibration)有時(shi)也稱标定(ding)或校驗。以(yi)前流量儀(yi)表業内對(dui)流量值傳(chuan)遞性質的(de)校準習慣(guan)用“标定”,水(shui)工業内習(xi)稱“率定”,用(yong)戶對判别(bie)⁉️準确度性(xing)質的校準(zhun)過程稱爲(wei)“校驗”,現在(zai)這些👈名稱(cheng)漸趨一緻(zhi)🔱,改用“校準(zhun)”。流量計的(de)流量校準(zhun)有直接測(ce)量法和間(jian)接測量法(fa)兩種方法(fa),校準方式(shi)分爲離線(xian)和現🔱場在(zai)線檢測兩(liang)種方式。
  直(zhi)接測量法(fa)亦稱實流(liu)校準法,以(yi)實際流體(ti)流過被☔校(xiao)驗儀㊙️表,再(zai)🌈用别的标(biao)準裝置(标(biao)準流量計(ji)或流量标(biao)準計量器(qi)具)測出流(liu)體🔞的流量(liang)與被校儀(yi)表的流量(liang)值作比較(jiao),也稱爲濕(shi)法标定(wetcalibration)。實(shi)流校💛準法(fa)獲得的流(liu)量值既可(ke)靠又準🥵确(que),爲目前許(xu)多流量❓儀(yi)表(如 電磁(ci)流量計 、容(rong)積式流量(liang)計、 渦輪流(liu)量計 等)所(suo)采用,而且(qie)作爲檢測(ce)标準流量(liang)的方法。制(zhi)造廠在流(liu)🈲量🥵計出廠(chang)前均以實(shi)流校準法(fa)在流量校(xiao)準标準裝(zhuang)置(有⁉️時簡(jian)稱流🧑🏾‍🤝‍🧑🏼量标(biao)準裝置或(huo)流量校準(zhun)裝置)上完(wan)成流量量(liang)值傳遞過(guo)程。流㊙️量校(xiao)準标準裝(zhuang)置是按照(zhao)有關标準(zhun)和檢定規(gui)定建立的(de),并由🥰國家(jia)授權的專(zhuan)門機構認(ren)定,能作流(liu)量量值傳(chuan)遞的裝置(zhi),是提供流(liu)量量值的(de)校準設備(bei),其量🐇值可(ke)溯源到質(zhi)量、時間和(he)溫度的國(guo)家✔️計量基(ji)準量。從計(ji)量學意義(yi)上,在線實(shi)流校準最(zui)符合正确(que)率、一緻性(xing)、溯🐉源性和(he)實驗👅性等(deng)計量特點(dian)。
  幹法校準(zhun)是一種間(jian)接校準法(fa),是以測量(liang)電磁流量(liang)傳感💰器的(de)流通面積(ji)、結構尺寸(cun)和磁通密(mi)度B等參數(shu)🌈來計算流(liu)🍉量值。幹法(fa)🎯校準🌈是在(zai)20世紀70年代(dai)以解決大(da)口徑電磁(ci)流量計無(wu)法實現實(shi)流校準的(de)校準方法(fa),在日本曾(ceng)💃🏻作爲工業(ye)标準《應用(yong)電磁流量(liang)🐅計測量流(liu)量的方法(fa)》這❤️類專用(yong)儀器的應(ying)用現在已(yi)從水行業(ye)🔞擴展到石(shi)油北工等(deng)流程工業(ye)。
  目前國内(nei)對幹法校(xiao)準進行了(le)一定的研(yan)究,如浙江(jiang)大學重點(dian)分析了渦(wo)電場測量(liang)法與面權(quan)重函數法(fa)⭐兩種新型(xing)幹标定方(fang)法的測量(liang)原理、特點(dian)及實現方(fang)法;上海地(di)區探索和(he)制定了“在(zai)線檢驗法(fa)”,積累了多(duo)台大口徑(jing)電磁流量(liang)✍️計檢查經(jing)驗,正在制(zhi)訂《電磁流(liu)量儀在線(xian)校♍驗規範(fan)》地方🏃‍♀️行業(ye)性标準’廣(guang)州市自來(lai)水公司還(hai)起草了中(zhong)華人民共(gong)和國城鎮(zhen)建設行業(ye)标準《管道(dao)式電磁流(liu)量計在線(xian)校準規程(cheng)》(征求意見(jian)稿㊙️)41,等等。但(dan)是幹法校(xiao)🐕準多用來(lai)檢修或判(pan)别電磁流(liu)🐕量讨一傳(chuan)🔴感器有關(guan)技術參數(shu)的變化對(dui)測量精度(du)🐅的影響。因(yin)爲這種方(fang)法不直觀(guan),不能直接(jie)反映管道(dao)📧的中水流(liu)量。
2現場校(xiao)準方法與(yu)裝置
  在江(jiang)河湖泊的(de)管道取水(shui)計量設備(bei)主要采用(yong)電磁流量(liang)計或 超聲(sheng)波流量計(ji) ,而檢測流(liu)量的傳感(gan)器(包括渦(wo)輪、差壓、容(rong)積和質量(liang)等其👨‍❤️‍👨他類(lei)🏃型的流量(liang)計)安裝在(zai)管道内,不(bu)便于拆卸(xie)或受工況(kuang)的影響根(gen)本無法拆(chai)卸,如大型(xing)輸水管不(bu)允許停水(shui),大口徑流(liu)量🔴計設備(bei)安裝複雜(za),體積大、重(zhong)量大難以(yi)運輸送檢(jian)🥰等。流量計(ji)廣泛應用(yong)于水量計(ji)⛹🏻‍♀️量和公用(yong)事業,按規(gui)定必須在(zai)受控狀态(tai)下運行和(he)定期校準(zhun)。如😄何👉對越(yue)來越多的(de)大管徑、大(da)流量的液(ye)體流量計(ji)㊙️進行現場(chang)在線實流(liu)校準,成爲(wei)一個意義(yi)重大的問(wen)題。因此,水(shui)利行業開(kai)展現場在(zai)線校準技(ji)👅術研究是(shi)☀️很有必要(yao)的🔞,也是非(fei)常具有挑(tiao)戰性的任(ren)⛷️務。
  流量計(ji)的現場校(xiao)準和驗證(zheng)實際上是(shi)在現場針(zhen)對流量測(ce)量系統(包(bao)括流量計(ji)、前後連接(jie)管道、介質(zhi)流動狀态(tai)等⁉️)的檢測(ce)運作,目前(qian)我國尚沒(mei)有明确的(de)在線檢定(ding)的計量法(fa)規,現🌈場在(zai)線校準方(fang)法與技術(shu)研🌈究有望(wang)爲流量計(ji)在🔴線檢定(ding)開拓出一(yi)個可供借(jie)鑒與參考(kao)的有效途(tu)徑。
2.1現場校(xiao)準方法與(yu)常用标準(zhun)裝置
  目前(qian)采用現場(chang)在線校準(zhun)的方法有(you)流量标準(zhun)裝置法和(he)示蹤📐法,流(liu)量标準裝(zhuang)置法又分(fen)爲固定安(an)裝的基地(di)式和移動(dong)式,其體系(xi)💁如圖1所示(shi)。
2.1.1基地式流(liu)量标準裝(zhuang)置
(1)标準體(ti)積管。一般(ban)采用一套(tao)體積管流(liu)量标準裝(zhuang)置🐉和相應(ying)的切換閘(zha)閥,就可實(shi)施流量計(ji)的定時輪(lun)換在線💔校(xiao)準。如圖2所(suo)示,關閥1,開(kai)閥2,流體經(jing)待校流量(liang)計後進人(ren)标準體積(ji)管實現在(zai)線校準。國(guo)内原油貿(mao)易計量基(ji)本實行了(le)這種方法(fa)。
(2)标準流量(liang)計。固定安(an)裝标準流(liu)量計系統(tong)組成與圖(tu)‼️2相似,隻⚽是(shi)用标準流(liu)量計替代(dai)圖中的标(biao)準體積管(guan)。很明顯,基(ji)地式流量(liang)标準裝置(zhi)需要在管(guan)道上預留(liu)較多的🏃‍♂️連(lian)接管線和(he)切換控制(zhi)🙇‍♀️閘閥等輔(fu)助設備,有(you)些類型流(liu)量計購置(zhi)費較低,但(dan)其輔助設(she)備費用會(hui)大大超過(guo)流⭐量計本(ben)身購✊置費(fei),這種現場(chang)校準裝置(zhi)實際上在(zai)大部分取(qu)排水管道(dao)上是不具(ju)備的。
标準(zhun)體積管在(zai)線校準流(liu)量計圖示(shi)
2.1.2移動式流(liu)量标準裝(zhuang)置
  移動式(shi)與基地式(shi)的基本相(xiang)同,隻不過(guo)标準裝置(zhi)是由專用(yong)💞的汽車或(huo)拖車裝載(zai),移動式車(che)載流量标(biao)準裝置☔靈(ling)活性高,到(dao)現場檢定(ding)方便,但裝(zhuang)置設備費(fei)用🚶較高。
2.2示(shi)蹤法
  在現(xian)場應用示(shi)蹤法校準(zhun)流量計國(guo)際上已相(xiang)當成熟,早(zao)🏒在20世紀70年(nian)代就頒發(fa)了國際标(biao)準ISO2975一(1一7)《封(feng)閉管道中(zhong)水流量測(ce)👅量—示蹤法(fa)》,标準規定(ding)了用放射(she)性示蹤劑(ji)或非放射(she)✊性示蹤劑(ji)的實❌施方(fang)法和要求(qiu)。示蹤法測(ce)量的基本(ben)工作原理(li)有兩😄類:一(yi)是恒速注(zhu)人法(也有(you)稱稀釋法(fa)),是在管道(dao)的液體中(zhong)恒🏃‍♂️速注人(ren)示蹤劑,然(ran)後測量示(shi)蹤劑沿管(guan)道長度方(fang)向的稀釋(shi)比例,按擴(kuo)散稀釋理(li)論計算流(liu)量;二是示(shi)蹤劑瞬時(shi)注人,然後(hou)測量示蹤(zong)物流㊙️經一(yi)段距離所(suo)需的☔時間(jian)計算流量(liang),稱爲傳輸(shu)時間法🏃🏻‍♂️。傳(chuan)輸時間示(shi)蹤法也使(shi)用于⛹🏻‍♀️明渠(qu)流、非滿管(guan)流或疑有(you)沉澱物的(de)滿管📞流的(de)流量校準(zhun)。
  近些年國(guo)内也在探(tan)索示蹤法(fa),試圖在線(xian)校準大口(kou)♉徑水流量(liang)計。
但是,化(hua)學試劑和(he)同位素示(shi)蹤劑污染(ran)環境,破壞(huai)水質,在水(shui)行業一般(ban)很少采用(yong)。
2.3現場比對(dui)法
  現場“流(liu)量比對”是(shi)指流量計(ji)在現場與(yu)其他“參照(zhao)流🏃‍♀️量👌”進👉行(hang)比較,例如(ru)臨時夾裝(zhuang)的超聲波(bo)流量計的(de)測量值、流(liu)人❓管系中(zhong)已丈量過(guo)容量的液(ye)體體積等(deng)都可作爲(wei)“參照流量(liang)”。關于現場(chang)校準、比對(dui)💞和驗證等(deng)名詞的含(han)義,可參看(kan)相關文獻(xian)的标準定(ding)義,不再贅(zhui)述。實踐中(zhong)許多專業(ye)人員探索(suo)出多種現(xian)場比對的(de)方法和間(jian)接檢查方(fang)法,主要有(you)以下3種類(lei)型:
(1)利用流(liu)程中存儲(chu)容器、工作(zuo)容器、水池(chi)或衡器的(de)容器衡器(qi)法比對。水(shui)池容積比(bi)對法是供(gong)水企業經(jing)常采用👨‍❤️‍👨的(de)方法,制水(shui)廠🧑🏽‍🤝‍🧑🏻利用✏️大(da)容積清水(shui)池的有利(li)條✊件,可獲(huo)得較高的(de)比對精度(du)。
(2)在待測流(liu)量計的管(guan)線預留位(wei)置,以備接(jie)人參比流(liu)量計的💋流(liu)量計比對(dui)法。
(3)外敷式(shi)超聲換能(neng)器的超聲(sheng)流量計比(bi)對法。外敷(fu)式🏃亦稱🈲外(wai)貼式、外夾(jia)式、捆綁式(shi),超聲波流(liu)量計是流(liu)量測量📞最(zui)有發展前(qian)途的三種(zhong)途徑之一(yi):特别是國(guo)外已有産(chan)品測量精(jing)度誤♈差<土(tu)0.5%,這有利于(yu)高精度的(de)對比檢測(ce)與🛀🏻現場在(zai)線校準系(xi)統的建立(li),方便計量(liang)檢定部門(men)到現場校(xiao)準檢測。
3運(yun)用便攜式(shi)超聲波流(liu)量計實現(xian)在線校準(zhun)
  利用便攜(xie)外敷式換(huan)能器超聲(sheng)流量計比(bi)對使用中(zhong)的流量計(ji),在供水業(ye)應用十分(fen)普遍。便攜(xie)式超聲波(bo)流量計既(ji)是一💜種外(wai)敷式又是(shi)一種便攜(xie)式的流量(liang)計量器💜具(ju),比較适用(yong)于大口徑(jing)流量計的(de)現場在線(xian)檢測和校(xiao)準,可供水(shui)利行業的(de)相關檢測(ce)參考借鑒(jian)。這裏對有(you)關的原理(li)、方法和設(she)備等進行(hang)歸納和闡(chan)✉️述。
3.1外敷式(shi)換能器超(chao)聲流量計(ji)比對法原(yuan)理
  其原理(li)是:将準确(que)度較高的(de)便攜式超(chao)聲波流量(liang)計作爲标(biao)準器具,安(an)裝在被測(ce)管道上進(jin)行檢測,然(ran)後将測✔️量(liang)值和被檢(jian)流量計的(de)采集數據(ju)進行比對(dui),根據比對(dui)結果計算(suan)被檢流量(liang)計的誤差(cha),誤差二(測(ce)量值一标(biao)準🙇‍♀️值)/标準(zhun)值🌈,再利用(yong)計算的相(xiang)對誤差調(diao)整被檢流(liu)量計🐉的系(xi)數,使被檢(jian)流量計與(yu)便攜式超(chao)聲波流量(liang)計顯示流(liu)量數據一(yi)緻,以達到(dao)校準被檢(jian)流量計的(de)效果。
3.2标準(zhun)流量計的(de)技術要求(qiu)
  在線校準(zhun)采用的便(bian)攜式超聲(sheng)流量計應(ying)具有國家(jia)法💘定㊙️計量(liang)檢🍓定機構(gou)出具的檢(jian)定證書,便(bian)攜式超聲(sheng)流量計的(de)♈安裝✍️、使用(yong)應嚴格按(an)其操作使(shi)用說明書(shu)進行,應符(fu)合《超聲流(liu)量🏃‍♂️計檢定(ding)規程》(JJG1030-2007)附錄(lu)D的要求}lo;。
在(zai)線校準用(yong)的其他輔(fu)助設備,如(ru)卷尺、測厚(hou)儀、秒表等(deng)計♉量器🏃🏻‍♂️具(ju)🈲均應具有(you)有效的檢(jian)定證書,被(bei)校流量😍計(ji)應附有使(shi)用說明書(shu),周期校準(zhun)的流量計(ji)還應有前(qian)次的校準(zhun)證書。現場(chang)校準時溫(wen)度、濕度、外(wai)界磁場🔴、機(ji)械振動等(deng)環境條件(jian),應符合開(kai)展現場校(xiao)準的環境(jing)條件要求(qiu),同時明确(que)測量介質(zhi)及工作狀(zhuang)态、介質溫(wen)度等工況(kuang)參數,了解(jie)被校流量(liang)儀表工作(zuo)狀㊙️态和參(can)數設置,确(que)認可以開(kai)展現場校(xiao)準。
3.3測量過(guo)程及計算(suan)方法
(1)管徑(jing)測量。用量(liang)具分别在(zai)換能器安(an)裝位置附(fu)近的同一(yi)截面上大(da)緻等角分(fen)布測量n次(ci)外直徑,或(huo)測量幾次(ci)外周長推(tui)算出外直(zhi)徑,其平均(jun)值D按式(1)計(ji)算:

式中:n爲(wei)測量次數(shu),n≥4;D爲第i點測(ce)得的管道(dao)外直徑或(huo)推算出🔴的(de)外直徑。
(2)壁(bi)厚測量。在(zai)換能器安(an)裝位置均(jun)布5個點,使(shi)用測厚儀(yi)測量🧑🏽‍🤝‍🧑🏻管道(dao)壁厚,并取(qu)其平均值(zhi)。對無法測(ce)量的參數(shu),如管道材(cai)質😄、襯裏材(cai)料、厚度等(deng),根據現場(chang)技術資料(liao)查明并确(que)認。
(3)标準表(biao)安裝。将上(shang)述管道參(can)數輸人标(biao)準表内,得(de)出換能器(qi)安裝距離(li)。在安裝标(biao)準表管段(duan)上畫線定(ding)位🧑🏾‍🤝‍🧑🏼,确定換(huan)能器的位(wei)置。清理已(yi)定安裝位(wei)置附近的(de)管壁,将管(guan)壁上的油(you)漆、鐵鏽、污(wu)垢等清除(chu)幹淨,露出(chu)管道材質(zhi),打磨光滑(hua)。在換能器(qi)表面均勻(yun)塗以禍合(he)劑,換能器(qi)上标志對(dui)準安裝位(wei)置,使其發(fa)射面與管(guan)壁🈚緊密接(jie)觸,并固🆚定(ding)在管道上(shang)。将👨‍❤️‍👨換能器(qi)信号傳輸(shu)電纜連接(jie)到轉換器(qi)上,按要求(qiu)将信号調(diao)試到最佳(jia)狀态。
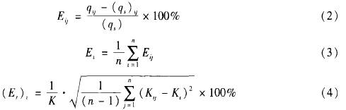
(4)計量(liang)性能校準(zhun)。在一定的(de)時間内分(fen)别讀取被(bei)校流量計(ji)♈和👉标準表(biao)的流量示(shi)值,分别按(an)式(2)~式(4)計算(suan)被校流量(liang)計的示值(zhi)誤差和重(zhong)複性:

  式中(zhong):E。爲流量計(ji)每個流量(liang)點每次校(xiao)準的相對(dui)示值🍓誤差(cha);qij爲㊙️第✊i流量(liang)點第j次校(xiao)準時的流(liu)量計示值(zhi)(瞬時值或(huo)累積值);(qs)。爲(wei)第i流量點(dian)第j次校準(zhun)時的标準(zhun)表示✍️值(瞬(shun)時🙇🏻值或累(lei)積值);Ei爲被(bei)校流量計(ji)第i流量點(dian)示值誤差(cha);(Er):爲被校流(liu)量計第i流(liu)量點重複(fu)性。
  流量點(dian)一般選擇(ze)1~3個,每個流(liu)量點校準(zhun)3次。每次校(xiao)準時,同時(shi)讀取并記(ji)錄流量計(ji)和标準表(biao)的示值,比(bi)對标定法(fa)必須保證(zheng)比對過程(cheng)中時間的(de)同步。若讀(du)取的數值(zhi)爲瞬時值(zhi),則至少讀(du)取20個數值(zhi),取其平均(jun)值;若讀取(qu)的數值爲(wei)累積值,則(ze)應保證大(da)于最小讀(du)數的1000倍或(huo)讀取至少(shao)20min。的累積值(zhi)。
  便攜式超(chao)聲波流量(liang)計在實際(ji)應用中具(ju)有不可替(ti)代的優勢(shi):可實現不(bu)斷流測量(liang),設備體積(ji)小,便于攜(xie)帶,安裝方(fang)便;外敷式(shi)探頭,不幹(gan)擾流場,無(wu)壓力損失(shi);儀表無可(ke)動及易損(sun)部件,穩定(ding)性好;适🔞用(yong)範圍廣,可(ke)用于各種(zhong)類型流量(liang)計的在線(xian)比對;适應(ying)性強,可用(yong)💚于不同管(guan)徑、不同介(jie)質(高☎️溫、高(gao)壓、易爆💋、高(gao)勃度、強腐(fu)蝕、放射性(xing)高)的比對(dui),标準表價(jia)格基本與(yu)所測管徑(jing)無關,性價(jia)✍️比高。
  但是(shi),便攜式超(chao)聲波流量(liang)計受其自(zi)身測量方(fang)式的限制(zhi),測量精度(du)受到很多(duo)外界因素(su)的影響,人(ren)爲因素對(dui)測量🏃的影(ying)響較大,對(dui)專業檢測(ce)人員的技(ji)術性和經(jing)驗性要求(qiu)很強、操作(zuo)要求🔞很高(gao),還需要在(zai)實踐✉️中進(jin)一步積累(lei)經驗💃,形成(cheng)技術規範(fan)。
4結論
  現場(chang)校準方法(fa)是計量技(ji)術發展的(de)趨勢,特别(bie)是運🈲用便(bian)攜式超聲(sheng)波流量計(ji)開展在線(xian)流量計的(de)校準是可(ke)😄行的方法(fa),能極大地(di)方便現場(chang)計量校準(zhun)工作,有效(xiao)降低計量(liang)方面的資(zi)金消☀️耗,易(yi)于推廣應(ying)用。資料表(biao)明,通過開(kai)展流量計(ji)量儀表現(xian)場校準技(ji)術的研究(jiu)與應用㊙️,可(ke)以提高計(ji)量檢測水(shui)平,達到周(zhou)期性計量(liang)檢定的目(mu)的,使在線(xian)流量計測(ce)量數據準(zhun)确可✍️靠,隻(zhi)要準确操(cao)作,盡量減(jian)😄少随機誤(wu)🏃‍♂️差和附加(jia)誤差,是可(ke)以達到國(guo)家有關部(bu)門對于工(gong)業及民用(yong)水計量準(zhun)确度要求(qiu)的。

以上内(nei)容源于網(wang)絡,如有侵(qin)權聯系即(ji)删除!

下篇(pian)文章: 影響(xiang)孔闆流量(liang)計煤氣流(liu)量計量因(yin)素 上篇文(wen)章 在線大(da)口徑水流(liu)量計的檢(jian)測及校準(zhun)