|
聯系(xi)方式
|
|
電話(hua)(市場部):
|
|
|
|
|
|
(拓(tuo)展部):
|
|
傳真(zhen):
|
節假日商(shang)務聯系電(dian)話:
何經理(li):
劉經理:
|
|
郵(you)編:211600
|
|
網址:/
|
|
http://banyunshe.cc/
|
|
E-mail:[email protected]
|
|
[email protected]
|
地(di)址:江蘇省(sheng)金湖縣工(gong)業園區環(huan)城西
路269号(hao)
|
|
|
|
您現在的(de)位置 > 首頁(ye)
> 行業新聞(wen)
> 金屬管浮(fu)子流量計(ji)精度保證(zheng)措施
|
|
|
|
|
|
金屬(shu)管浮子流(liu)量計精度(du)保證措施(shi)
發布時間(jian):2020-4-22 08:24:09
|
摘要:介紹(shao)了
浮子流(liu)量計
精度(du)的定義方(fang)法,在選用(yong)該系列産(chan)品時有關(guan)精度方面(mian)的注意事(shi)項和在應(ying).用該産品(pin)時如何實(shi)現相應的(de)測量🤩精度(du)。
1. 簡述
由于(yu)金屬管浮(fu)子流量計(ji)
的堅固可(ke)靠、測量穩(wen)定,并與測(ce)量介質的(de)介電常數(shu)無✂️關,同時(shi)由于可以(yi)采用多種(zhong)耐腐蝕材(cai)料制造測(ce)量傳感器(qi)🙇♀️等特點,因(yin)此,這種産(chan)品可以廣(guang)泛應用于(yu)高溫、高壓(ya)或腐蝕性(xing)介質以及(ji)氣體和蒸(zheng)汽的測量(liang)🔅。
但是,基于(yu)測量原理(li)上的特點(dian),流量刻度(du)與介.質密(mi)✌️度💁和粘度(du)有關,實際(ji)應用過程(cheng)中介質條(tiao)件的變化(hua)又經常發(fa)🏃🏻生,因而實(shi)際使用浮(fu)子流量計(ji)時,如何保(bao)證測量精(jing)度的準确(que)就顯得十(shi)分重要。
2. 測(ce)量原理
如(ru)圖1所示,相(xiang)對應測量(liang)介質的某(mou)一流量,磁(ci).性浮子在(zai)測量管中(zhong)對應一個(ge)浮子位置(zhi),這個浮子(zi)位置通過(guo)指📞示器中(zhong)的🔴經過精(jing)密⁉️充磁的(de)磁耦合系(xi)統帶動指(zhi)針,由刻度(du)盤✨和指針(zhen)讀出相應(ying)的流量值(zhi)。
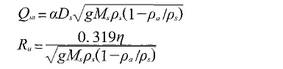
根據VDI/VDE3513 标準(zhun),浮子流量(liang)計流量計(ji)算公式:
式(shi)中:Qm爲介質(zhi)的質量流(liu)量;
a爲與浮(fu)子形狀、介(jie)質粘度有(you)關的系數(shu);
Ds爲浮子直(zhi)徑;
Ms爲浮子(zi)質量;
g爲重(zhong)力加速度(du);
ρa爲介質密(mi)度;
ρs爲浮子(zi)密度;
η爲介(jie)質粘度。
由(you)公式可以(yi)看出,流量(liang)刻度與介(jie)質密度、浮(fu)子密度成(cheng)比例🤞,與介(jie)質粘度有(you)關。
3浮子流(liu)量計精度(du)的定義
目(mu)前,在國内(nei)金屬管浮(fu)子流量計(ji)的市場上(shang),有兩種💃🏻定(ding)義🌈精💁度的(de)方式。.
一種(zhong)是采用國(guo)家行業标(biao)準JB/T6844- 1993的定義(yi)方式。在這(zhe)種方式中(zhong)規定💞浮㊙️子(zi)流量計的(de)基本誤差(cha)如表1所示(shi)。
另外一種(zhong)是采用德(de)國工程師(shi)學會VDI/VDE3513的定(ding)義方式。在(zai)這種🈲方式(shi)中規定:
E,= (I/4E+3/4F ) xK/100
式(shi)中: E. 爲流量(liang)測量點絕(jue)對誤差;
E爲(wei)測量點流(liu)量;
F爲流量(liang)計滿度流(liu)量;
K爲精度(du)等級。
由以(yi)上定義可(ke)以看出:
(1)兩(liang)種定義的(de)方式不同(tong)。在VDI/VDE标準中(zhong),給出的各(ge)個測量點(dian)精度㊙️,都包(bao)含有滿量(liang)程刻度對(dui)各個測量(liang)點精度的(de)影響,在🈲同(tong)樣的測量(liang)點上,與國(guo)家行業标(biao)準相比,相(xiang)應提高了(le)精度。
(2)意義(yi)不同。 在國(guo)家行業标(biao)準中,明确(que)給出刻度(du)是标校介(jie)質的🐇量程(cheng)(刻度),也就(jiu)是說,此時(shi)的測量精(jing)度就是标(biao)校條件下(xia)的測量精(jing)😘度,沒有給(gei)出實際測(ce)量介質條(tiao)件下的精(jing)度修正或(huo)補償。在VDIVDE标(biao)準中沒有(you)明确說明(ming)測量⛱️介質(zhi)是标校介(jie)質還❤️是實(shi)際測量介(jie)質。表2給出(chu)按照VDIVDE3513計🔞算(suan)出的各個(ge)測量點上(shang)的🔴相對滿(man)度值🐆誤差(cha)。
4精度與刻(ke)度的現狀(zhuang)
不同的企(qi)業由于執(zhi)行不同的(de)産品标準(zhun),因此所制(zhi)造的浮子(zi)流⭕量計會(hui)有不同的(de)刻度顯示(shi),同時産品(pin).的精度也(ye)會産生差(cha)異。目前,國(guo)内絕大部(bu)分企業生(sheng)産的浮子(zi)流量計是(shi)按照國家(jia)标準或⁉️在(zai)國家标準(zhun)基礎上制(zhi)定自己的(de)企業标準(zhun),其精度與(yu)量程(刻度(du)🆚)是定義在(zai)标校條件(jian)下的,也就(jiu)是說,精度(du)和刻度是(shi)🌈标校條件(jian)下水或空(kong)氣的精度(du)和刻度。
國(guo)内部分合(he)資企業是(shi)按照國外(wai)标準,由于(yu)采用國外(wai)技術和設(she)備,特别是(shi)國外公司(si)的計算軟(ruan)件進行刻(ke)度轉換㊙️,在(zai)刻度轉換(huan)過程中進(jin)行密度與(yu)粘度的修(xiu)正和補償(chang),此時,浮子(zi)流量計所(suo)顯示出的(de)刻度是實(shi)際測量介(jie)質的刻度(du).因此精度(du)也是補償(chang)後的實際(ji)介質刻度(du)。
5選型時應(ying)注意的問(wen)題
(1)在選用(yong)浮子流量(liang)計時,首先(xian)要了解浮(fu)子流量計(ji)制🍉造🚩企🧑🏾🤝🧑🏼業(ye)📱所執行的(de)産品标準(zhun),特别是關(guan)于精度的(de)規定和🈲顯(xian)示刻度✏️的(de)規定,其🔴次(ci)要了解産(chan)品的制造(zao)和技術水(shui)平。同時,要(yao)結合流量(liang)測💁量中的(de)工藝要求(qiu).特别是在(zai)測量或控(kong)制要求精(jing)度高、刻度(du)顯示直觀(guan)、介㊙️質粘度(du)高的⛹🏻♀️情況(kuang)下,要選擇(ze)能夠直接(jie)顯示介質(zhi)流量.具有(you)密度和粘(zhan)度補償性(xing)能的浮子(zi)流量計。
(2)掌(zhang)握準确的(de)工藝條件(jian),提供準确(que)的介質參(can)數。因爲刻(ke)度❌的轉👌換(huan)與校驗是(shi)根據介質(zhi)條件完成(cheng)的。
(3)選用合(he)适的測量(liang)部件材質(zhi)。一般要選(xuan)擇防腐蝕(shi)性能好🏃🏻♂️的(de)測量材質(zhi)。隻有保證(zheng)浮子和測(ce)量部件長(zhang)時間不受(shou)介,質的腐(fu)蝕,才能确(que)保産品長(zhang)期工作在(zai)出廠時的(de)精度要求(qiu)。
(4)要選用能(neng)夠使正常(chang)工作流量(liang)在50%~80%的滿刻(ke)度的範圍(wei)内。正常工(gong)💯作流量低(di)于50%量程,使(shi)測量點上(shang)的絕對誤(wu)差增大,不(bu)利于控制(zhi)精度。
6保證(zheng)測量精度(du)
(1)選型或訂(ding)貨時要提(ti)供準确的(de)介質條件(jian)。對于具有(you)密度和粘(zhan)🌍度修正能(neng)力的制造(zao)企業,這點(dian)尤其重要(yao)❓。因爲,密度(du)或粘🔆度的(de)差異,将直(zhi)接影響流(liu)量刻度的(de)🐉校驗。
(2)對于(yu)直接顯示(shi)标校條件(jian)下水或空(kong)氣流量刻(ke)度的流量(liang)計,盡❤️可☎️能(neng)要求制造(zao)企業提供(gong)校驗數據(ju)和流👌量計(ji)算書,在實(shi)際使用儀(yi)表時,要根(gen)據這些校(xiao)驗數🈲據和(he)計算書手(shou)工進行密(mi)度修正。修(xiu)正的方式(shi)可以采用(yong)圖表法、表(biao)格法或在(zai)流量計算(suan)機或DCS上使(shi)用系數修(xiu)正法。
(3)保證(zheng)儀表安裝(zhuang)正确。垂直(zhi)度是浮子(zi)流量計安(an)裝時經常(chang)被忽視的(de)一點,一般(ban)情況下,要(yao)保證垂直(zhi)度在2度以(yi)‼️内。
(4)對于要(yao)求具有控(kong)制功能的(de)浮子流量(liang)計,盡量選(xuan)用帶⚽有通(tong)訊功⛷️能的(de)産品。當介(jie)質條件變(bian)化時,可以(yi)利🏃用産品(pin)的通訊功(gong)能,現場對(dui)信号進行(hang)調整,最大(da)限🧑🏽🤝🧑🏻度的保(bao)證産品精(jing)度。
(5)有條件(jian)的用戶,可(ke)以按照流(liu)量計制造(zao)企業提供(gong)的流✔️量計(ji)算書和校(xiao)驗記錄重(zhong)新對儀表(biao)進行檢驗(yan)。
7周期檢定(ding),保證精度(du)的準确
要(yao)想長期保(bao)證浮子流(liu)量計的測(ce)量精度,周(zhou)期對産品(pin)進行檢定(ding)是必不可(ke)少的手段(duan)。一般條件(jian)下,浮子流(liu)量計的檢(jian)定通常🔞采(cai)用直接用(yong)水或空氣(qi)進行檢驗(yan)。有兩個方(fang)面需要注(zhu)意:
(1)如果流(liu)量計刻度(du).上的介質(zhi)條件與檢(jian)定時的介(jie)質條件相(xiang)🛀同,可采用(yong)直接進行(hang)流量比對(dui)以計算精(jing)度🆚;
(2)如果兩(liang)者的介質(zhi)條件不同(tong),就需了解(jie)該産品是(shi)否具🧑🏾🤝🧑🏼有密(mi)度和🐪粘度(du)修正功能(neng)。如果沒有(you)修正功.能(neng),也要了解(jie)刻度變化(hua)的條件或(huo)計算公式(shi),根據相應(ying)的公式,才(cai)可以進行(hang)系數計算(suan)。如果具有(you)密度和粘(zhan)度修正功(gong)能🧑🏽🤝🧑🏻,應要求(qiu)制造企業(ye)提😄供計算(suan)方💚式或計(ji)算結果,利(li)用正☂️确地(di)計算結果(guo)對産品進(jin)❓行檢定。
以(yi)上内容源(yuan)于網絡,如(ru)有侵權聯(lian)系即删除(chu)!
|
|
|
|
|