|
γ源(yuan)多相(xiang)流量(liang)計在(zai)延長(zhang)測試(shi)中的(de)研究(jiu)
|
摘要(yao):在國(guo)内某(mou)海域(yu)油氣(qi)構造(zao)評價(jia)延長(zhang)測試(shi)項目(mu)中,首(shou)次♊采(cai)用γ源(yuan)多相(xiang)流量(liang)計
進(jin)行單(dan)井計(ji)量。爲(wei)了有(you)效提(ti)高在(zai)延長(zhang)測試(shi)中流(liu)量計(ji)🐇的測(ce)量精(jing)度,研(yan)究了(le)γ源多(duo)相流(liu)量計(ji)的計(ji)量原(yuan)理,分(fen)析㊙️了(le)影響(xiang)多相(xiang)計量(liang)精度(du)的相(xiang)關因(yin)素。通(tong)過實(shi)際應(ying)用過(guo)程試(shi)驗,對(dui)比、分(fen)析并(bing)找出(chu)對實(shi)際測(ce)量影(ying)響較(jiao)大的(de)關鍵(jian)因素(su)。針對(dui)關鍵(jian)因素(su),提出(chu)了可(ke)操作(zuo)的性(xing)能保(bao)障措(cuo)施。實(shi)際應(ying)用🔞結(jie)果表(biao)明,流(liu)量計(ji)測量(liang)精度(du)得到(dao)了顯(xian)著提(ti)高,滿(man)足項(xiang)目測(ce)試要(yao)求。通(tong)過計(ji)算、分(fen)析γ源(yuan)三相(xiang)計量(liang)技術(shu)的應(ying)用關(guan)鍵因(yin)素,實(shi)施有(you)效♻️的(de)🚶♀️性能(neng)保證(zheng)措施(shi),減✊小(xiao)了由(you)于延(yan)長測(ce)🌈試油(you)藏基(ji)礎數(shu)據不(bu)确定(ding)性對(dui)測量(liang)精度(du)的影(ying)響,爲(wei)延長(zhang)測試(shi)進一(yi)一步(bu)确認(ren)油氣(qi)藏類(lei)型及(ji)儲量(liang)規模(mo)提供(gong)了保(bao)證,也(ye)爲海(hai)上類(lei)🔞似低(di)滲油(you)氣藏(cang)測試(shi)計量(liang)提供(gong)了有(you)益的(de)借鑒(jian)。
0引言(yan)
國内(nei)某海(hai)域某(mou)地質(zhi)構造(zao)主力(li)氣藏(cang)分布(bu)在P8a、P8b和(he)P10三層(ceng)。爲了(le)落實(shi)天然(ran)氣地(di)質儲(chu)量、合(he)理制(zhi)定開(kai)發方(fang)案、評(ping)價開(kai)發效(xiao)果,對(dui)該構(gou)造探(tan)井進(jin)行延(yan)長測(ce)試”。由(you)于測(ce)試期(qi)間油(you)藏儲(chu)量、溫(wen)度🤞、壓(ya)力和(he)♉組分(fen)存在(zai).不确(que)定性(xing),故選(xuan)取測(ce)量範(fan)圍寬(kuan)、精度(du)高的(de)測試(shi)計量(liang)設備(bei)。
γ源多(duo)相流(liu)量計(ji)自20世(shi)紀90年(nian)代亮(liang)相以(yi)來,已(yi)廣泛(fan)應用(yong)于國(guo)内外(wai)油氣(qi)田單(dan)井計(ji)量。與(yu)傳統(tong)的三(san)相分(fen)離器(qi)相比(bi)🔞,多相(xiang)流量(liang)😘計具(ju)有結(jie)構緊(jin)湊、測(ce)量精(jing)度高(gao)、測量(liang)💛範圍(wei)寬、流(liu)型适(shi)用性(xing)好、運(yun)行可(ke)靠性(xing)高☀️、性(xing)價比(bi)高等(deng)🔆明顯(xian)優勢(shi)口,可(ke)用于(yu)對油(you)氣構(gou)造A的(de)延長(zhang)測試(shi)。爲了(le)準确(que)探明(ming)構🈲造(zao)油氣(qi)藏類(lei)型、儲(chu)量和(he)油氣(qi)水含(han)量,需(xu)要分(fen)析研(yan)究多(duo)💛相流(liu)量計(ji)的原(yuan)理和(he)影響(xiang)測量(liang)精度(du)的因(yin)素,并(bing)對比(bi)分析(xi)該構(gou)造流(liu)體的(de)組分(fen)特點(dian),找出(chu)關鍵(jian)因素(su),制定(ding)性能(neng)保證(zheng)措施(shi)。本文(wen)以國(guo)内具(ju)有代(dai)表性(xing)的海(hai)默科(ke)技标(biao).準型(xing)γ源多(duo)相流(liu)量計(ji)爲基(ji)礎進(jin)🐕行分(fen)析。
1γ源(yuan)多相(xiang)流量(liang)計原(yuan)理
γ源(yuan)多相(xiang)流量(liang)計通(tong)過文(wen)丘裏(li)管測(ce)量總(zong)流量(liang)、單能(neng)γ傳感(gan)器測(ce)量含(han)🌈氣率(lü)、雙能(neng)γ傳感(gan)器測(ce)量含(han)水率(lü),然後(hou)通💛過(guo)基本(ben)的流(liu)量計(ji)算和(he)體積(ji)、壓力(li)溫度(du)(pressurevolumetemperature,PVIT)轉換(huan)得到(dao)标況(kuang)條件(jian)💰下的(de)油氣(qi)水流(liu)🛀量甲(jia)。通過(guo)使用(yong)流型(xing)調整(zheng)技☁️術(shu),可進(jin)一步(bu)保證(zheng)含水(shui)率的(de)測👅試(shi)精度(du)。
多相(xiang)流量(liang)計的(de)主要(yao)部件(jian)包括(kuo)文丘(qiu)裏管(guan)(含
差(cha)壓變(bian)送器(qi)
)、單能(neng)γ傳感(gan)器、在(zai)線取(qu)樣器(qi)、雙能(neng)γ傳感(gan)器、溫(wen)度及(ji)
壓力(li)變送(song)器
等(deng)功能(neng)部件(jian)。關鍵(jian)部件(jian)功能(neng)如下(xia)。
①文丘(qiu)裏管(guan)用于(yu)測量(liang)工況(kuang)(實際(ji)測試(shi)壓力(li)、溫度(du)條件(jian)🎯下)條(tiao)🤩件下(xia)油相(xiang)、水相(xiang)、氣相(xiang)總流(liu)量。
②γ傳(chuan)感器(qi)用于(yu)測量(liang)工況(kuang)下的(de)相分(fen)率。
③溫(wen)度和(he)壓力(li)變送(song)器等(deng)用于(yu)工況(kuang)、标況(kuang)(1個标(biao)準大(da)氣壓(ya)、20℃條件(jian)下♊)體(ti)積轉(zhuan)換的(de)PVT因子(zi)計算(suan)。
多相(xiang)流量(liang)計原(yuan)理如(ru)圖1所(suo)示。
2多(duo)相流(liu)計量(liang)的影(ying)響因(yin)素.
多(duo)相流(liu)量計(ji)的影(ying)響因(yin)素主(zhu)要通(tong)過計(ji)算過(guo)程分(fen)析,包(bao)🤩括含(han)水率(lü)測量(liang)公式(shi)、含氣(qi)率測(ce)量公(gong)式、總(zong)流量(liang)公式(shi),以及(ji)标況(kuang)下氣(qi)、油、水(shui)産出(chu)的過(guo)程。
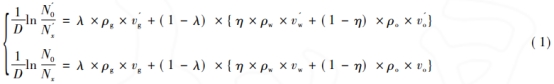
雙(shuang)能γ傳(chuan)感器(qi)測量(liang)含水(shui)率相(xiang)關公(gong)式爲(wei):
式中(zhong):λ和η分(fen)别爲(wei)雙能(neng)γ傳感(gan)器中(zhong)的截(jie)面含(han)氣率(lü)和截(jie)面🤩含(han)水率(lü),均爲(wei)待測(ce)量;符(fu)号右(you),上角(jiao)帶“”的(de)爲雙(shuang)能傳(chuan)感器(qi)🏃🏻♂️高能(neng)級有(you)👣關的(de)量,不(bu)帶“”的(de)爲與(yu)低能(neng)級有(you)關的(de)🌐量或(huo)對兩(liang)者共(gong)同的(de)量;N0爲(wei)空管(guan)計數(shu)率;Nx爲(wei)在線(xian)計數(shu)率;D爲(wei)雙能(neng)傳感(gan)器管(guan)道内(nei)徑,爲(wei)固定(ding)值;ρg、:ρo、ρw分(fen)别爲(wei)工況(kuang)下天(tian)然氣(qi)、全油(you)、全水(shui)的在(zai)🧑🏾🤝🧑🏼線密(mi)度;ʋg、ʋo、ʋw分(fen)别爲(wei)天然(ran)氣、全(quan)油、全(quan)水的(de)質量(liang)吸收(shou)系數(shu)。
式中(zhong):C爲流(liu)出系(xi)數,與(yu)雷諾(nuo)數相(xiang)關,通(tong)過雷(lei)諾數(shu)與流(liu)出系(xi)數的(de)📞叠代(dai)關系(xi)求出(chu);E爲速(su)度漸(jian)進系(xi)數,對(dui)一個(ge)文丘(qiu)裏來(lai)說,該(gai)數據(ju)爲定(ding)值;d爲(wei)文丘(qiu)裏喉(hou)徑;△p爲(wei)流體(ti)流經(jing)文丘(qiu)裏時(shi)的高(gao)低壓(ya)端壓(ya)力差(cha),由差(cha)壓變(bian)送器(qi)采集(ji);ρmix爲流(liu)體的(de)混合(he)密度(du),是各(ge)相密(mi)度與(yu)💛各相(xiang)相分(fen)♍率乘(cheng)積之(zhi)和。
計(ji)算工(gong)況各(ge)相流(liu)量:
式(shi)中:Qg8、Q08、Qw8分(fen)别爲(wei)标況(kuang)下的(de)氣、油(you)、水産(chan)量;Bg、Bo、Bw分(fen)别爲(wei)工況(kuang)下☂️氣(qi)、油、水(shui)體積(ji)相對(dui)于标(biao)況下(xia)的體(ti)積比(bi)。
通過(guo)上述(shu)公式(shi)可知(zhi),影響(xiang)标況(kuang)下氣(qi)、油、水(shui)測量(liang)精度(du)的因(yin)子包(bao)括含(han)水率(lü)、含氣(qi)率、總(zong)流量(liang)及工(gong)、标況(kuang)轉換(huan)🔴過程(cheng)的每(mei)一個(ge)變量(liang),即各(ge)😄相的(de)工況(kuang)密度(du)、各相(xiang)的質(zhi)量吸(xi)收系(xi)數、空(kong)👨❤️👨管計(ji)數與(yu)在線(xian)計數(shu)率🈚、差(cha)壓和(he)PVT因子(zi)。在不(bu)同的(de)工況(kuang)下,各(ge)項因(yin)子對(dui)結果(guo)的影(ying)響也(ye)不同(tong)。
3計量(liang)的關(guan)鍵因(yin)素
爲(wei)了進(jin)一步(bu)确定(ding)對本(ben)次測(ce)試精(jing)度産(chan)生重(zhong)大影(ying)響的(de)關✍️鍵(jian)因🈲素(su),在實(shi)際應(ying)用中(zhong),對第(di)2節中(zhong)分析(xi)的影(ying)響⚽因(yin)素進(jin)行試(shi)驗。首(shou)先💰,結(jie)合✂️勘(kan)探樣(yang)氣組(zu)分參(can)數和(he)現場(chang)測試(shi)☔實際(ji)測量(liang)值,确(que)定多(duo)相流(liu)所屬(shu)類别(bie);然後(hou),在一(yi)定範(fan)圍内(nei)改變(bian)影⚽響(xiang)因素(su),并💛将(jiang)得到(dao)試驗(yan)測量(liang)數據(ju)與改(gai)變前(qian)測試(shi)數據(ju)進✊行(hang)對比(bi),以确(que)💔定對(dui)測量(liang)結果(guo)産生(sheng)顯著(zhe)💯影響(xiang)的因(yin)素。
該(gai)地質(zhi)構造(zao)前期(qi)勘探(tan)獲得(de)樣氣(qi)的主(zhu)要組(zu)分如(ru)下。
CO2占(zhan)4.17%,CH4占85.448%,C2H8占(zhan)7.043%,C3H8占2.275%。此(ci)外,還(hai)有少(shao)部分(fen)N2、iC4、nC4、iC5、nC5及C6+等(deng)組分(fen)。計算(suan)得出(chu)樣品(pin)組分(fen)平均(jun)分子(zi)量爲(wei)19.225,平均(jun)密度(du)爲0.8013kg/m3,相(xiang)對密(mi)度爲(wei)0.6655。
統計(ji)試驗(yan)前流(liu)量計(ji)測試(shi)數據(ju)平均(jun)值如(ru)下。
标(biao)況液(ye)量爲(wei)56.57m3/d;标況(kuang)油量(liang)爲52.3m3/d;标(biao)況水(shui)量爲(wei)4.27m3/d;标況(kuang)氣量(liang)爲289105.88m3/d;含(han)水🙇🏻率(lü)爲6.88%;含(han)氣率(lü)爲98.59%;溫(wen)度爲(wei)47.51℃;壓力(li)爲6467.11kPa;差(cha)壓爲(wei)11.92kPa.
結合(he)樣氣(qi)密度(du),可以(yi)計算(suan)出該(gai)多相(xiang)流所(suo)屬的(de)類别(bie)。一般(ban)用洛(luo)克哈(ha)特和(he)馬蒂(di)内利(li)(Lockhart-Martinelli,LM)數值(zhi)分類(lei)。此時(shi)該數(shu)🛀值爲(wei)♈0.056,屬于(yu)第二(er)類濕(shi)氣(洛(luo)克哈(ha)特和(he)馬蒂(di)内利(li)值在(zai)0.02和0.3之(zhi)間)。對(dui)第二(er)類濕(shi)氣來(lai)說,其(qi)📧主要(yao)目的(de)是獲(huo)取氣(qi)相。但(dan)爲了(le)準确(que)地計(ji)量氣(qi)相,需(xu)🍓要較(jiao)爲準(zhun)确的(de)液量(liang)數據(ju),同時(shi)也要(yao)通過(guo)含水(shui)⭐值來(lai)提高(gao)氣相(xiang)測量(liang)精度(du)。
爲了(le)評估(gu)影響(xiang)計量(liang)的關(guan)鍵因(yin)素,将(jiang)第2節(jie)中分(fen)析得(de)出的(de)影響(xiang)因子(zi)變化(hua)0.1%~0.5%,計算(suan)各影(ying)響因(yin)子對(dui)最終(zhong)結果(guo)的影(ying)響,其(qi)⭐結果(guo)如表(biao)1所示(shi)。
由表(biao)1可以(yi)看出(chu),在同(tong)比例(li)的波(bo)動中(zhong),對測(ce)試結(jie)果影(ying)響最(zui)💋大的(de)是㊙️空(kong)管計(ji)數率(lü)和在(zai)線計(ji)數率(lü),其次(ci)爲差(cha)壓零(ling)點漂(piao)移和(he)壓縮(suo)因子(zi)變化(hua),其他(ta)各因(yin)子變(bian)化對(dui)測試(shi)結果(guo)影響(xiang)均較(jiao)小。
空(kong)管計(ji)數率(lü)與在(zai)線計(ji)數率(lü)都屬(shu)于γ射(she)線在(zai)不同(tong)狀态(tai)下的(de)測試(shi)🏃🏻數據(ju),因此(ci)隻需(xu)要監(jian)測空(kong)管計(ji)數率(lü)即可(ke)。壓縮(suo)因子(zi)由氣(qi)體組(zu)分決(jue)定”,因(yin)此監(jian)測壓(ya)縮因(yin)子即(ji)監測(ce)🈲氣體(ti)組分(fen)變化(hua)🧡。
4性能(neng)保障(zhang)措施(shi)
通過(guo)上述(shu)的計(ji)算分(fen)析,确(que)定了(le)影響(xiang)計量(liang)精度(du)的關(guan)鍵因(yin)素。爲(wei)保障(zhang)流量(liang)計準(zhun)确、穩(wen)定運(yun)行,對(dui)流量(liang)計現(xian)場操(cao)作和(he)運維(wei)提出(chu)并實(shi)施了(le)如下(xia)針對(dui)性的(de)性能(neng)保障(zhang)措施(shi)。
①定期(qi)隔離(li)排空(kong)核實(shi)空管(guan)計數(shu)率,每(mei)兩個(ge)月到(dao)三個(ge)月進(jin)行一(yi)次空(kong)管标(biao)定。
②隔(ge)離排(pai)空時(shi)觀察(cha)差壓(ya)零點(dian),如果(guo)絕對(dui)值超(chao)出0.3kPa,即(ji)需要(yao)切🐪零(ling)。
③定期(qi)進行(hang)氣體(ti)組分(fen)分析(xi),化驗(yan)密度(du)與組(zu)分。推(tui)薦半(ban)年進(jin)行一(yi)次,以(yi)确保(bao)壓縮(suo)因子(zi)的準(zhun)确性(xing)國]。
④定(ding)期取(qu)樣化(hua)驗含(han)水率(lü),側面(mian)驗證(zheng)測試(shi)含水(shui)率的(de)有效(xiao)🐉性🙇♀️。
上(shang)述措(cuo)施的(de)實施(shi),可以(yi)确保(bao)γ源多(duo)相流(liu)量計(ji)達到(dao)如🈲表(biao)2所示(shi)流量(liang)測量(liang)的精(jing)度要(yao)求。
5結(jie)束語(yu)
分析(xi)分相(xiang)率和(he)最終(zhong)标況(kuang)流量(liang)計算(suan)過程(cheng)可知(zhi),影響(xiang)多相(xiang)計量(liang)的因(yin)素主(zhu)要包(bao)括各(ge)相的(de)工況(kuang)密度(du)、各相(xiang)的質(zhi)量吸(xi)收系(xi)數、空(kong)管計(ji)數與(yu)在線(xian)計數(shu)率等(deng)。在延(yan)長測(ce)試應(ying)用中(zhong)進行(hang)試驗(yan)。對比(bi)分析(xi)表明(ming),影響(xiang)計量(liang)的關(guan)鍵因(yin)素爲(wei)空管(guan)💋計數(shu)率、在(zai)線計(ji)數率(lü)、差壓(ya)零點(dian)漂移(yi)和壓(ya)縮因(yin)子變(bian)化。針(zhen)對關(guan)鍵因(yin)素,提(ti)出并(bing)應用(yong)四項(xiang)性能(neng)優化(hua)措施(shi),确保(bao)了γ源(yuan)多相(xiang)流量(liang)計在(zai)👈延長(zhang)測試(shi)中的(de)測量(liang)精度(du),減小(xiao)了由(you)于延(yan)長測(ce)試油(you)藏基(ji)礎數(shu)據不(bu)确定(ding)性對(dui)🍓測量(liang)精度(du)的影(ying)響,爲(wei)🌐海上(shang)類低(di)滲油(you)氣藏(cang)測試(shi)計量(liang)提供(gong)了有(you)益的(de)借鑒(jian)。
本文(wen)來源(yuan)于網(wang)絡,如(ru)有侵(qin)權聯(lian)系即(ji)删除(chu)!
|
|
|
|