日韩激情视频 基于水介質的渦街流量計流場仿真-江蘇省凯祥医疗器械有限公司

 

                 
                 
        首   頁│  公(gong)司簡介(jie)  産品中(zhong)心  質量(liang)體系  銷(xiao)售網絡(luo)  聯系我(wo)們
 
 
  電(dian)磁流量(liang)💋日韩激情视频🚶‍♀️計的工(gong)作原理(li)
  氧化锆(gao)氧傳感(gan)器的原(yuan)理及應(ying)用
  有害(hai)氣體檢(jian)測報警(jing)儀選用(yong)原則
  我(wo)國計量(liang)用儀器(qi)儀表的(de)發展和(he)現狀
  國(guo)内儀器(qi)儀表行(hang)業将發(fa)生高科(ke)....
  西安交(jiao)大研制(zhi)出超高(gao)溫沖擊(ji)壓....
  采用(yong)半導體(ti)精密溫(wen)度傳感(gan)......
  智能溫(wen)度傳感(gan)器的發(fa)展趨勢(shi)
  簡述幾(ji)種氣體(ti)檢測傳(chuan)感器.....
  利(li)用傳感(gan)器制造(zao)智能服(fu)裝
  新型(xing)傳感器(qi)監控魚(yu)群數量(liang)
 
聯系方(fang)式
  電話(hua)(市場部(bu)):  
      
   (拓展部(bu)):
     傳真:
  節(jie)假日商(shang)務聯系(xi)電話:
  何(he)經理:
  劉(liu)經理:
  郵(you)編:211600
 網址(zhi):/
    http://banyunshe.cc/
     [email protected]
 地址:江(jiang)蘇省金(jin)湖縣工(gong)業園區(qu)環城西(xi)
 路269号
 您(nin)現在的(de)位置 > 首(shou)頁 > 行業(ye)新聞 > 基(ji)于水介(jie)質的渦(wo)街流量(liang)計流場(chang)仿真

基于(yu)水介質(zhi)的渦街(jie)流量計(ji)流場仿(pang)真

摘要(yao):利用計(ji)算流體(ti)力學數(shu)值計算(suan)仿真方(fang)法,對渦(wo)街流量(liang)計 以水(shui)爲介質(zhi)進行了(le)仿真分(fen)析,得到(dao)一些流(liu)場分析(xi)結果。 由(you)渦街流(liu)量計測(ce)量原理(li)可知,隻(zhi)要在流(liu)量标準(zhun)裝置上(shang)✏️測得儀(yi)表系數(shu)K,就可以(yi)得到流(liu)量。
1仿真(zhen)數學模(mo)型與邊(bian)界條件(jian)
1.1仿真數(shu)學模型(xing)
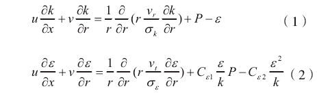
  當介質(zhi)爲水時(shi),由雷諾(nuo)數可知(zhi),在裝置(zhi)的整個(ge)流量💛範(fan)圍内,流(liu)量計内(nei)部的流(liu)動爲湍(tuan)流流動(dong)。采用K-ε湍(tuan)流模型(xing),結合三(san)維不可(ke)壓縮✏️黏(nian)性流體(ti)的N-S方程(cheng),建立封(feng)閉方程(cheng)組。
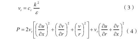
  其中(zhong)湍流動(dong)能K的輸(shu)運方程(cheng)和湍流(liu)耗散率(lü)ε的輸運(yun)方程分(fen)别爲
 
  其(qi)中湍流(liu)運動黏(nian)性系數(shu)ʋt與湍流(liu)動能産(chan)生項P分(fen)别🧑🏾‍🤝‍🧑🏼爲🏃‍♀️
 
  式(shi)中:u一流(liu)體在軸(zhou)向坐标(biao)x的速度(du);ʋ一流體(ti)在徑向(xiang)坐标💞r下(xia)🧑🏽‍🤝‍🧑🏻的速度(du)。
  以上4組(zu)方程使(shi)用CFD仿真(zhen)軟件進(jin)行壓力(li)-速度耦(ou)合,用有(you)限體🚶積(ji)⛹🏻‍♀️法進行(hang)離散處(chu)理,壓力(li)采用砌(qi)體力加(jia)權離散(san)格式,動(dong)量、湍動(dong)能與湍(tuan)動能耗(hao)散率均(jun)采用二(er)階迎風(feng)離散格(ge)式。
1.2仿真(zhen)物理模(mo)型
  選擇(ze)DN50口徑的(de)渦街流(liu)量計,利(li)用StarCCM軟件(jian)建立渦(wo)街流量(liang)🐉計幾何(he)模型并(bing)劃分網(wang)格,渦街(jie)流量計(ji)發生體(ti)橫截面(mian)網格如(ru)圖1所示(shi)。
渦街流(liu)量計發(fa)生體橫(heng)截面網(wang)格圖
 
  爲(wei)了提高(gao)計算效(xiao)率,渦街(jie)發生體(ti)處重點(dian)加密,其(qi)他區域(yu)适🐪當稀(xi)疏。由圖(tu)1可知,渦(wo)街發生(sheng)體所處(chu)流場網(wang)格均勻(yun)加🈚密。通(tong)🚩過加☂️密(mi)畫法,靠(kao)近渦街(jie)發生體(ti)的橫截(jie)面網格(ge)較密,遠(yuan)離渦街(jie)發生體(ti)而靠近(jin)管壁的(de)網格較(jiao)稀疏。
2.2仿(pang)真條件(jian)設定
  目(mu)前仿真(zhen)僅選擇(ze)不可壓(ya)縮的水(shui)爲介質(zhi),對于不(bu)可壓縮(suo)流⛹🏻‍♀️體水(shui)密度以(yi)實驗室(shi)測量結(jie)果爲依(yi)據。模型(xing)選擇♊RNGk-ε雙(shuang)方程湍(tuan)⛷️流模型(xing),該模型(xing)可以很(hen)好地處(chu)理高應(ying)變率😄以(yi)及流線(xian)彎曲程(cheng)度較大(da)的流體(ti)流動,非(fei)常💋适合(he)具有旋(xuan)渦脫落(luo)現象的(de)渦街流(liu)場仿真(zhen)。
2流場仿(pang)真分析(xi)
  影響渦(wo)街流量(liang)計旋渦(wo)頻率的(de)是發生(sheng)體兩側(ce)的流🌍速(su)U;和發生(sheng)⛱️體的結(jie)構,由于(yu)發生體(ti)結構尺(chi)寸是固(gu)定的,因(yin)此頻率(lü)隻與U相(xiang)📐關,需要(yao)觀測在(zai)相同人(ren)口流速(su)U條件下(xia)的U變化(hua)來得到(dao)♻️頻率的(de)變化。而(er)🤞速度的(de)變化必(bi)然會導(dao)緻流體(ti)密度的(de)變化,因(yin)此可觀(guan)測發生(sheng)體兩側(ce)的密度(du)雲圖,從(cong)而判斷(duan)可壓縮(suo)性對渦(wo)街流量(liang)計流速(su)U,的影響(xiang),通過仿(pang)真得到(dao)不可壓(ya)縮流體(ti)水的靜(jing)壓雲圖(tu)(見圖2)、不(bu)可壓縮(suo)🌈流體水(shui)的速度(du)雲圖(見(jian)圖📞3)。
 
 
  爲判(pan)斷是否(fou)爲充分(fen)發展流(liu)動,特測(ce)量Y軸方(fang)向的力(li)(見圖4、圖(tu)5) 由圖4、圖(tu)5可知,經(jing)過一段(duan)時間後(hou)流場處(chu)于穩⁉️定(ding)狀态。對(dui)圖5中💰靜(jing)壓數值(zhi)進行快(kuai)速傅立(li)葉變換(huan),得⭐到3種(zhong)介質下(xia)的旋渦(wo)脫離頻(pin)率圖(見(jian)圖6)。
 
  通過(guo)讀取圖(tu)6不可壓(ya)縮流體(ti)水的旋(xuan)渦脫落(luo)頻率圖(tu)最高🏃點(dian)㊙️的頻👈率(lü),可得到(dao)水旋渦(wo)脫落頻(pin)率爲340Hz。
3結(jie)束語
  利(li)用軟件(jian)實現了(le)渦街流(liu)量計在(zai)不可壓(ya)縮流體(ti)水的流(liu)場仿真(zhen),根據卡(ka)門渦街(jie)的産生(sheng)機理,仿(pang)真出渦(wo)街流🔅量(liang)計☔在不(bu)可壓縮(suo)流體水(shui)下的頻(pin)率值,爲(wei)下一步(bu)進行空(kong)氣、蒸汽(qi)計量打(da)下了堅(jian)實的基(ji)礎。

文章(zhang)來源于(yu)網絡,如(ru)有侵權(quan)聯系即(ji)删除!


下(xia)篇文章(zhang): 槽道式(shi)流量計(ji)在天然(ran)氣計量(liang)中應用(yong) 上篇文(wen)章: 超聲(sheng)波流量(liang)計在氣(qi)體計量(liang)中的應(ying)用
 
江蘇(su)省凯祥医疗器械有限公司是一(yi)家專業(ye)提供 渦(wo)街流量(liang)計 渦輪(lun)流量計(ji) 電磁流(liu)量計 的(de)企業,公(gong)司将以(yi)優質的(de)服務優(you)惠的價(jia)格,服務(wu)新老客(ke)戶。
 版權(quan)所有:江(jiang)蘇省凯祥医疗器械有限公司       支(zhi)持易品(pin)網絡

·
·
·
 
 
·
 
·
·