摘要:從(cong)勵磁線圈(quan)作用場的(de)權重函數(shu)出發,按照(zhao)磁通密度(du)沿中軸線(xian)分布的均(jun)勻度、沿測(ce)量管軸方(fang)向分布的(de)均勻度和(he)整個空間(jian)分布的均(jun)勻度3個指(zhi)标,确定最(zui)佳的勵磁(ci)線圈形狀(zhuang)。在用料以(yi)及勵磁條(tiao)件相同的(de)情況下,對(dui)不同形狀(zhuang)勵磁線圈(quan)産生的感(gan)應電動勢(shi)與被測液(ye)體的流速(su)以及管道(dao)中液面高(gao)度的關系(xi)進行仿真(zhen)分析。研究(jiu)結果表明(ming):圓形貼管(guan)壁的線圈(quan)勵磁磁場(chang)均勻度最(zui)佳。實際應(ying)用中,要根(gen)據被測液(ye)體在管道(dao)中液面高(gao)度的狀态(tai)選擇最佳(jia)的勵磁線(xian)圈形狀。
電(dian)磁流量計(ji)
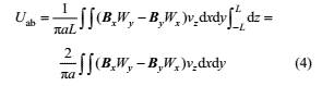
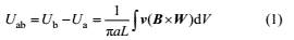
是工業過(guo)程參數測(ce)量中廣泛(fan)應用的一(yi)-種流量儀(yi)表,具有結(jie)構簡單,流(liu)量測量不(bu)受流體的(de)密度、溫度(du)、壓力、黏性(xing)等影響,測(ce)量範圍大(da),原理上是(shi)線性的且(qie)測量精度(du)高,使用可(ke)靠,維護簡(jian)單等特點(dian)0-1。但是,傳統(tong)的電磁流(liu)量計由于(yu)系統本身(shen)結構的限(xian)制,監測到(dao)的信息量(liang)有限,使測(ce)量精度受(shou)到限制。由(you)于勵磁線(xian)圈有限長(zhang),使得勵磁(ci)磁場不均(jun)勻,同時會(hui)在管道軸(zhou)向平面内(nei)産生渦流(liu),流體中電(dian)渦流的存(cun)在不可避(bi)免地影響(xiang)測量精度(du)。勵磁系統(tong)的優化,是(shi)在相同的(de)勵磁條件(jian)下使得勵(li)磁磁場的(de)強度和磁(ci)場均勻性(xing)增強。電磁(ci)流量計電(dian)極兩端測(ce)量電壓的(de)計算公式(shi)如下:
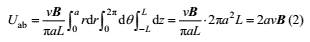
其中(zhong):下标a和b代(dai)表電極兩(liang)端:a爲測量(liang)管半徑;v爲(wei)流體速度(du):B爲磁感應(ying)強度:W爲權(quan)函數。當B和(he)流體速度(du)v都是常數(shu),權函數W爲(wei)1時,式(1)化爲(wei):
但實際上(shang),管道中的(de)流體流動(dong)時,電極兩(liang)端的電壓(ya)是由流體(ti)微元進行(hang)切割磁力(li)線的運動(dong)産生。B和v都(dou)是與位置(zhi)x,y和z有關的(de)函數,而且(qie)每個微元(yuan)對U山的貢(gong)獻(權重函(han)數)不--樣。若(ruo)不考慮權(quan)重函數,要(yao)保持磁場(chang)B沿z軸分布(bu)均勻,須采(cai)用軸長足(zu)夠長的勵(li)磁線圈,這(zhe)在實際應(ying)用中難以(yi)實現,電磁(ci)流量計正(zheng)在向非均(jun)勻方向發(fa)展,因此,必(bi)須要考慮(lü)權重函數(shu)。
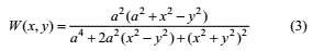
權重函數(shu)是一一個(ge)與磁場分(fen)布和速度(du)分布無關(guan),僅與測量(liang)管尺寸、電(dian)極的幾何(he)形狀、流體(ti)的性質有(you)關的空間(jian)函數。SHERCLIFFPI給出(chu)了二維平(ping)面上權重(zhong)函數分布(bu)表達式爲(wei)
上述權重(zhong)函數的分(fen)布隻有在(zai)管道和電(dian)極無限長(zhang)時成立,很(hen)難在實際(ji)中應用。BEVIR将(jiang)二維權重(zhong)函數分布(bu)擴展到三(san)維中,得出(chu)了三維權(quan)重矢量分(fen)布凹。将式(shi)(3)分解成坐(zuo)标軸分量(liang)的形式,得(de)
w,沿管軸z方(fang)向的分布(bu)情況如圖(tu)1所示。從圖(tu)1可知:w,随着(zhe)離開電極(ji)所在截面(mian)的距離(c)增(zeng)大而迅速(su)衰減,當距(ju)離z>0.25D(D爲管道(dao)直徑)時,w,實(shi)際上達到(dao)0。這說明在(zai)離電極平(ping)面較遠處(chu)的管内空(kong)間,流體産(chan)生的感應(ying)電勢對電(dian)極間的輸(shu)出信号基(ji)本上沒有(you)貢獻中。因(yin)此,隻須保(bao)證磁場在(zai)士0.25D範圍内(nei)在--定程度(du)上保持均(jun)勻,即可近(jin)似爲均勻(yun)磁場。這樣(yang),勵磁線圈(quan)和傳感器(qi)長度都可(ke)以縮短,從(cong)而使整個(ge)傳感器的(de)周長和體(ti)積大大縮(suo)小,質量也(ye)大大減輕(qing)。基于權重(zhong)函數,可以(yi)在comsol軟件中(zhong)進行勵磁(ci)線圈的模(mo)拟仿真,以(yi)便對各種(zhong)線圈進行(hang)對比分析(xi)。
1勵磁線圈(quan)的形狀及(ji)磁場仿真(zhen)
1.1應用背景(jing)
工業應用(yong)中,被測液(ye)體的流速(su)範圍一般(ban)在0.3~2.0m/s,電極兩(liang)端的感應(ying)電動勢最(zui)大50.00mV,最小0.10mV,這(zhe)樣的信号(hao)非常弱,還(hai)要考慮噪(zao)聲的幹擾(rao),有時噪聲(sheng)幅值甚至(zhi)會超過被(bei)測信号的(de)幅值[5-8。傳統(tong)的電磁流(liu)量計很難(nan)達到比較(jiao)高的測量(liang)精度。爲了(le)提高測量(liang)的精度就(jiu)要盡量增(zeng)強勵磁磁(ci)場的強度(du)以及磁場(chang)的均勻性(xing),使得電極(ji)兩端的感(gan)應電動勢(shi)增強1-11。在同(tong)樣的勵磁(ci)條件以及(ji)線圈用料(liao)相同的情(qing)況下,可以(yi)繞制成多(duo)種形狀的(de)勵磁線圈(quan),通過比較(jiao)産生的磁(ci)場均勻性(xing)以及磁場(chang)強度,可以(yi)選出最佳(jia)的勵磁線(xian)圈形狀。
1.23種(zhong)形狀勵磁(ci)線圈磁場(chang)仿真
勵磁(ci)線圈的形(xing)狀常見的(de)有圓形、菱(ling)形和馬鞍(an)形3種。對相(xiang)同用料下(xia)不同形狀(zhuang)勵磁線圈(quan)産生的磁(ci)場的強度(du)以及均勻(yun)度進行仿(pang)真比較。3種(zhong)勵磁線圈(quan)的形狀如(ru)圖2所示。
爲(wei)保證用料(liao)相同,以圓(yuan)形的周長(zhang)爲1m,按比例(li)繞制馬鞍(an)形和菱形(xing)的線圈。将(jiang)馬鞍形、圓(yuan)形和菱形(xing)線圈分别(bie)貼到管壁(bi)上,令線圈(quan)軸向長度(du)與用料相(xiang)同,且被測(ce)液體流速(su)均爲lm/s。其中(zhong),具體仿真(zhen)參數設置(zhi)如下:
1)管道(dao)參數。管道(dao)直徑爲100mm,管(guan)壁厚度爲(wei)10mm,,管道長度(du)爲220mm.
2)線圈參(can)數。線圈寬(kuan)度厚度爲(wei)10mm,線圈軸長(zhang)爲150mm。
3)勵磁參(can)數。圓形線(xian)圈爲200匝,菱(ling)形爲273匝,馬(ma)鞍形爲185匝(za),勵磁電流(liu)爲1A.
所得的(de)仿真結果(guo)如表I所示(shi)。
1.3數據分析(xi)
爲了對仿(pang)真結果進(jin)行分析對(dui)比,定義了(le)3個指标8,82和(he)3。
1)ε爲磁通密(mi)度沿中軸(zhou)線分布的(de)均勻度,表(biao)達式爲
表(biao)1所示爲在(zai)勵磁線圈(quan)軸向長度(du)相同、用料(liao)相同及勵(li)磁條件相(xiang)同下進行(hang)仿真所得(de)結果。對3種(zhong)線圈的磁(ci)場進行計(ji)算,各自對(dui)應的3個指(zhi)标ε,e2和83如表(biao)2所示。.
結合(he)表1與表2,分(fen)析可得:
1)圓(yuan)形,菱形線(xian)圈産生磁(ci)場磁通密(mi)度較大,馬(ma)鞍形相對(dui)較小。磁通(tong)密度由大(da)到小爲
綜(zong)上可以得(de)出如下結(jie)論:
1)結合表(biao)1所得數據(ju),分别從磁(ci)通密度和(he)磁場均勻(yun)度2個方面(mian)進行比較(jiao)分析,可以(yi)看出圓形(xing)勵磁線圈(quan)的勵磁效(xiao)果最好。
2)圓(yuan)形和馬鞍(an)形線圈産(chan)生的勵磁(ci)磁場的磁(ci)通密度沿(yan)中軸線分(fen)布較均勻(yun):馬鞍形線(xian)産生的勵(li)磁磁場的(de)圈磁通密(mi)度沿測量(liang)管軸方向(xiang)分布較均(jun)勻:圓形線(xian)圈産生的(de)勵磁磁場(chang)的磁通密(mi)度在整個(ge)空間分布(bu)較均勻;而(er)菱形線圈(quan)産生的勵(li)磁磁場的(de)磁通密度(du)沿各個方(fang)向都最不(bu)均勻。
綜上(shang)所述,圓形(xing)勵磁線圈(quan)的勵磁磯(ji)場均勻度(du)最好。在條(tiao)件相同情(qing)況下,計算(suan)利用圓形(xing)線圈勵磁(ci)的測量精(jing)度比傳統(tong)的馬鞍形(xing)線圈勵磁(ci)的測量精(jing)度提高了(le)10.3%。
2感應電動(dong)勢與被測(ce)液體流速(su)及液面高(gao)度的關系(xi)
2.1應用背景(jing)
在實際工(gong)程應用中(zhong),電磁流量(liang)計管道中(zhong)的被測液(ye)體不能保(bao)證總是處(chu)于滿管的(de)狀态,液體(ti)的流速也(ye)不斷變化(hua)。傳統的流(liu)量計是按(an)照始終保(bao)持滿管并(bing)且流速不(bu)變的前提(ti)計算流體(ti)流量,這對(dui)電磁流量(liang)計的測量(liang)精度有很(hen)大影響12-131。随(sui)着管道中(zhong)被測液體(ti)高度以及(ji)流速的變(bian)化,線圈兩(liang)端産生的(de)感應電動(dong)勢會随之(zhi)改變4,這種(zhong)變化是否(fou)是線性的(de)需要分析(xi),然後根據(ju)對應關系(xi)進行相應(ying)的線圈形(xing)狀的選擇(ze)。最近,電磁(ci)流量計的(de)研究又出(chu)現了一些(xie)引人注目(mu)的新成果(guo),如部分流(liu)管和錐形(xing)管内流量(liang)計15-19。
2.23種線圈(quan)感應電動(dong)勢線性度(du)分析
對于(yu)3種形狀的(de)線圈,在用(yong)料相同,勵(li)磁情況相(xiang)同的情況(kuang)下,分别仿(pang)真其在不(bu)同流速及(ji)不同液面(mian)高度的情(qing)況下的感(gan)應電動勢(shi)。
以圓形線(xian)圈(254匝)爲基(ji)準,保證用(yong)料相同,馬(ma)鞍(200匝),菱形(xing)(238匝),勵磁電(dian)流爲1A,線圈(quan)軸向長度(du)D爲100mm,管道口(kou)徑爲100mm。流速(su)範圍爲0.6~2m/s,液(ye)面高度爲(wei)10~100mm。利用comsol進行(hang)仿真,對所(suo)得數據利(li)用matlab進行繪(hui)制,結果分(fen)别如圖2~4所(suo)示。,
通過對(dui)仿真數據(ju)及matlab圖的分(fen)析可以看(kan)出:不.同形(xing)狀的線圈(quan)感應電動(dong)勢與流速(su)和液面高(gao)度不呈線(xian)性變化。在(zai)流速确定(ding)的條件下(xia),對感應電(dian)動勢和液(ye)面高度的(de)關系,以及(ji)在液面高(gao)度确定的(de)條件下感(gan)應電動勢(shi)與流速的(de)關系進行(hang)仿真分析(xi),确定出不(bu)同條件下(xia)感應電動(dong)勢的關系(xi)。仿真結果(guo)如圖6和圖(tu)7所示。
由圖(tu)6可見:感應(ying)電動勢與(yu)液面高度(du)呈非線性(xing)關系。沒有(you)一種勵磁(ci)線圈形式(shi)對于所有(you)的流動狀(zhuang)态都最優(you)。當液面高(gao)度低于管(guan)徑的一-半(ban)(50mm)時,圓形線(xian)
圈産生的(de)感應電動(dong)勢最大:當(dang)液面高度(du)超過管徑(jing)的--半時,馬(ma)鞍形線圈(quan)産生的感(gan)應電動勢(shi)最大。由圖(tu)7可見:感應(ying)電動勢與(yu)流速的關(guan)系呈線性(xing)關系,同時(shi),也說明了(le)滿管時馬(ma)鞍形線圈(quan)感應電動(dong)勢大,低于(yu)半管時圓(yuan)形線圈産(chan)生的感應(ying)電動勢大(da)。因此,在實(shi)際應用中(zhong),應該根據(ju)被測液體(ti)長時間所(suo)處的液面(mian)高度選擇(ze)最佳的勵(li)磁線圈形(xing)狀,從而獲(huo)得盡可能(neng)大的感應(ying)電動勢并(bing)節約經濟(ji)成本,消除(chu)噪聲對測(ce)量信号的(de)影響。
3總結(jie)
1)電磁流量(liang)激勵磁系(xi)統的設計(ji)原則是管(guan)道截面内(nei)的激勵磁(ci)場分布盡(jin)可能均勻(yun),管道内的(de)磁場沿管(guan)道軸線的(de)分布盡量(liang)均勻,并且(qie)要盡量提(ti)高磁場強(qiang)度。
2)在條件(jian)相同情況(kuang)下(管道直(zhi)徑爲100mm,勵磁(ci)電流爲IA),圓(yuan)形勵磁線(xian)圈(線圈寬(kuan)度厚度爲(wei)10mm,線圈軸長(zhang)爲150mm)的勵磁(ci)磁場均勻(yun)度最好。所(suo)得到結果(guo)對于電磁(ci)流量計的(de)設計和開(kai)發具有一(yi)定的參考(kao)和應用價(jia)值。
以上内(nei)容源于網(wang)絡,如有侵(qin)權聯系即(ji)删除!
|